电脑桌面
添加小米粒文库到电脑桌面
安装后可以在桌面快捷访问

四面体的性质2VIP免费

四面体的性质2_第1页
1/3
四面体的性质2_第2页
2/3
四面体的性质2_第3页
3/3
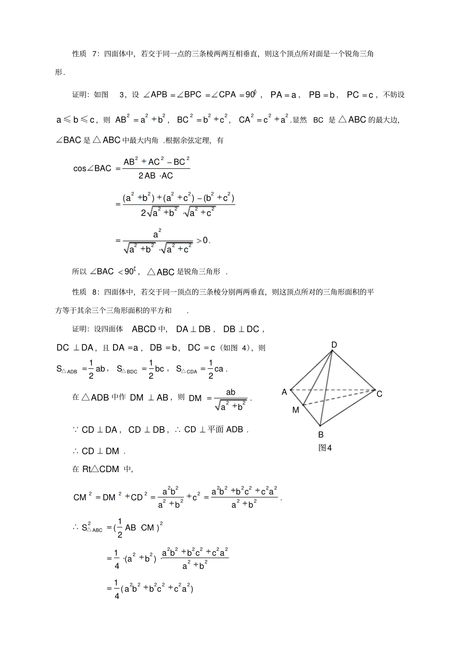
四面体的性质不在一直线上的三点可以连成一个三角形,不共面的四点可以连成四个三角形,这四个三角形围成的几何体叫做四面体(如图1).它有四个顶点,六条棱,四个面. 研究四面体的有关性质可以加深对四面体,空间四边形的知识的理解,有利于提高熟练运用知识的能力. 性质1:四面体中相对的棱所在的直线是异面直线.如图1中 AB 和 CD ,BC 和 AD ,AC 和 BD 都是异面直线 . 性质 2:四面体中, 若一个顶点在对面内射影是这个三角形的垂心,则四面体的三组对棱分别互相垂直. 证明: 如图 2 的四面体中, 设顶点 A 在面 BCD 内的射影 H是BCD△的垂心 . AHBCD平面.连结BH , CH, DH ,则BHCD , CHBD , DHBC .根据三垂线定理得ABCD , ACBD , ADBC . 性质 3:四面体中,若有两组对棱互相垂直,则第三组对棱也互相垂直 . 证明:设四面体ABCD 中, ABCD , ACBD ,过 A 作AHBCD平面, H 为垂足(如图2).连结 BH,CH ,则 BH 为AB 在平面 BCD 内的射影, 根据三垂线定理的逆定理,BHCD ;同理 CHBD ,所以 H 是BCD△的垂心 .由性质 2 知 ADBC . 根据性质 2,3 立即可以得到:性质 4:四面体中,若一个顶点在它对面内的射影是这个面的中心,则其余各顶点在其对面内的射影也分别是这些面的中心. 利用全等三角形的判定和性质,可以证明下面两条性质:性质 5:四面体中, 若交于同一顶点的三条棱相等,则这个顶点在对面内的射影是这个三角形的外心,且这三条棱和顶点所对面所成的角相等.反之也真 . 特别地,若这个顶点所对的面是一个直角三角形,则这顶点的射影是直角三角形斜边的中点. 性质 6:四面体中, 若一个顶点在对面内的射影是这个三角形的内心,则顶点到对面三角形三条边的距离相等,且以这三角形三角形三条边为棱的三个二面角相等. 图1DCBA图2HDCBA图 3PCBA性质 7:四面体中,若交于同一点的三条棱两两互相垂直,则这个顶点所对面是一个锐角三角形. 证明:如图3,设90APBBPCCPA, PAa , PBb , PCc ,不妨设abc≤≤,则222ABab ,222BCbc ,222CAca .显然BC 是ABC△的最大边,BAC 是ABC△中最大内角 .根据余弦定理,有222cos2ABACBCBACAB AC2222222222()()()2abacbcabac222220aabac. 所以90BAC,ABC△是锐角三角形 . 性质 8:四面体中,若交于同一顶点的三条棱分别两两垂直,则这顶点所对的三角形面积的平方等于其余三个三角形面积...

1、当您付费下载文档后,您只拥有了使用权限,并不意味着购买了版权,文档只能用于自身使用,不得用于其他商业用途(如 [转卖]进行直接盈利或[编辑后售卖]进行间接盈利)。
2、本站所有内容均由合作方或网友上传,本站不对文档的完整性、权威性及其观点立场正确性做任何保证或承诺!文档内容仅供研究参考,付费前请自行鉴别。
3、如文档内容存在违规,或者侵犯商业秘密、侵犯著作权等,请点击“违规举报”。

碎片内容

四面体的性质2

文库响当当+ 关注
实名认证
内容提供者

该用户很懒,什么也没介绍

相关文档

确认删除?
VIP
微信客服
  • 扫码咨询
会员Q群
  • 会员专属群点击这里加入QQ群
客服邮箱
回到顶部