电脑桌面
添加小米粒文库到电脑桌面
安装后可以在桌面快捷访问

土力学标准答案VIP免费

土力学标准答案_第1页
1/30
土力学标准答案_第2页
2/30
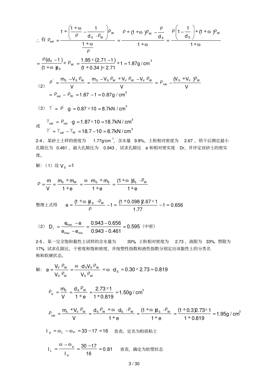
土力学标准答案_第3页
3/30
1 / 30 第一章1-1. 砂类土和粘性土各有那些典型的形成作用?【答】土在其形成过程中有各种风化作用共同参与,它们同时进行。砂类土主要是由于温度变化、波浪冲击、地震引起的物理力使岩体崩解、破碎形成。粘性土主要是岩体与空气、水和各种水溶液相互作用形成。1-2. 请分析下列几组概念的异同点:①黏土矿物、黏粒、黏性土;②粒径、粒度和粒组。【答】黏土颗粒(黏粒)的矿物成分主要有黏土矿物和其他化学胶结构物或有机质,其中黏土矿物的结晶结构特征对黏性土的工程性质影响较大。黏土矿物实际上是一种铝- 硅酸盐晶体,是由两种晶片交互层叠构成的。黏土矿物颗粒一般为扁平状(或纤维状),与水作用后扁平状颗粒的表面带负电荷,但颗粒的(断裂)边缘,局部却带有正电荷。黏性土由黏粒与水之间的相互作用产生,黏性土及其土粒本身大多是由硅酸盐矿物组成。自然界中土一般都是由大小不等的土粒混合而组成的,也就是不同大小的土颗粒按不同的比例搭配关系构成某一类土,比例搭配(级配)不一样,则土的性质各异。土颗粒大小,通常以其直径大小表示, 简称粒径, 单位为 mm。所谓土的颗粒大小组合情况在工程上就是按土颗粒(粒径)大小分组,称为粒组。每个粒组都以土粒直径的两个数值作为其上下限,并给以适当的名称,简言之,粒组就是一定的粒径区段,以毫米表示。土颗粒的大小是以其直径来表示,称为粒径 ( 或粒度 ) ,其单位一般采用毫米。1-3. 简述土中粒度成分与矿物成分的关系。【答】 粗颗粒土往往是岩石经物理分化形成的原岩碎屑,是物理化学性质比较稳定的原生矿物颗粒; 细小土粒主要是化学风化作用形成的次生矿物颗粒和生成过程中有机物质的介入,次生矿物的成分、性质及其与水的作用均很复杂,是细粒土具有塑性特征的主要因素之一,对土的工程性质影响很大。1-4. 粒组划分时 , 界限粒径的物理意义是什么? 【答】 界限粒组的物理意义是划分粒组的分界尺寸1-5. 粘土颗粒为什么会带电?【答】研究表明,片状粘土颗粒的表面,由于下列原因常带有布平衡的负电荷。①离解作用:指粘土矿物颗粒与水作用后离解成更微小的颗粒,离解后的阳离子扩散于水中,阴离子留在颗粒表面; ②吸附作用: 指溶于水中的微小粘土矿物颗粒把水介质中一些与本身结晶格架中相同或相似的离子选择性地吸附到自己表面;③同晶置换:指矿物晶格中高价的阳离子被低价的离子置换,常为硅片中的Si4+ 被 Al3+ 置换,铝片中的Al3+ 被 Mg2+ ...

1、当您付费下载文档后,您只拥有了使用权限,并不意味着购买了版权,文档只能用于自身使用,不得用于其他商业用途(如 [转卖]进行直接盈利或[编辑后售卖]进行间接盈利)。
2、本站所有内容均由合作方或网友上传,本站不对文档的完整性、权威性及其观点立场正确性做任何保证或承诺!文档内容仅供研究参考,付费前请自行鉴别。
3、如文档内容存在违规,或者侵犯商业秘密、侵犯著作权等,请点击“违规举报”。

碎片内容

土力学标准答案

确认删除?
VIP
微信客服
  • 扫码咨询
会员Q群
  • 会员专属群点击这里加入QQ群
客服邮箱
回到顶部