电脑桌面
添加小米粒文库到电脑桌面
安装后可以在桌面快捷访问

12章3课时 高三数学高考一轮课件 优化方案(理科)--第十二章 离散型随机变量及其分布列 新人教A版 高三数学高考一轮课件 优化方案(理科)--第十二章 离散型随机变量及其分布列 新人教A版VIP免费

12章3课时 高三数学高考一轮课件 优化方案(理科)--第十二章 离散型随机变量及其分布列 新人教A版 高三数学高考一轮课件 优化方案(理科)--第十二章 离散型随机变量及其分布列 新人教A版12章3课时 高三数学高考一轮课件 优化方案(理科)--第十二章 离散型随机变量及其分布列 新人教A版 高三数学高考一轮课件 优化方案(理科)--第十二章 离散型随机变量及其分布列 新人教A版12章3课时 高三数学高考一轮课件 优化方案(理科)--第十二章 离散型随机变量及其分布列 新人教A版 高三数学高考一轮课件 优化方案(理科)--第十二章 离散型随机变量及其分布列 新人教A版12章3课时 高三数学高考一轮课件 优化方案(理科)--第十二章 离散型随机变量及其分布列 新人教A版 高三数学高考一轮课件 优化方案(理科)--第十二章 离散型随机变量及其分布列 新人教A版12章3课时 高三数学高考一轮课件 优化方案(理科)--第十二章 离散型随机变量及其分布列 新人教A版 高三数学高考一轮课件 优化方案(理科)--第十二章 离散型随机变量及其分布列 新人教A版
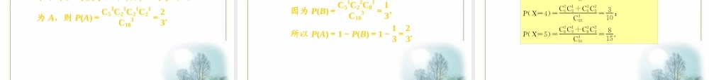
第 3 课时 离散型随机变量 及其分布列1 .离散型随机变量的分布列(1) 离散型随机变量的分布列若离散型随机变量 X 可能取的不同值为 x1, x2,…, xi,… xn, X取每一个值 xi(i = 1,2 ,…, n) 的概率 P(X = xi) = pi,则表基础知识梳理Xx1x2…xi…xnP……p1p2pipn 称为离散型随机变量 X 的概率分布列,简称 X 的分布列.有时为了表达简单,也用等式 表示 X 的分布列. (2) 离散型随机变量分布列的性质 ① ; ② . ③ 一般地,离散型随机变量在某一范围内取值的概率等于这个范围内每个随机变量值的概率 .基础知识梳理P(X = xi) = pi , i =1,2 ,… , npi≥0 , i = 1,2 ,…, n之和i=1npi=1 基础知识梳理如何求离散型随机变量的分布列?【思考 · 提示】 首先确定随机变量的取值,求出离散型随机变量的每一个值对应的概率,最后列成表格.2 .常见离散型随机变量的分布列(1) 两点分布若随机变量 X 的分布列是则这样的分布列称为两点分布列.如果随机变量 X 的分布列为两点分布列,就称 X 服从 分布,而称 p = P(X = 1) 为成功概率.基础知识梳理X01P1 - pp两点 (2) 超几何分布 在含有 M 件次品的 N 件产品中,任取 n 件,其中恰有 X 件次品数,则事件{X = k} 发生的概率 , ,其中m = min{M , n} ,且n≤N , M≤N , n , M , NN∈*. 称分布列基础知识梳理k = 0,1,2 ,…, mP(X=k)=CMkCN-Mn-kCNn 为超几何分布列.如果随机变量X 的分布列为超几何分布列,则称随机变量 X 服从 .基础知识梳理X01…mP…CM0CN-Mn-0CNn CM1CN-Mn-1CNn CMmCN-Mn-mCNn 超几何分布1 .①某机场候机室中一天的游客数量为 X ;② 某寻呼台一天内收到的寻呼次数为 X ;③ 某水文站观察到一天中长江的水位为 X ;④ 某立交桥一天经过的车辆数为 X. 其中不是离散型随机变量的是 ( )A .①中的 X B .②中的 XC .③中的 X D .④中的 X答案: C三基能力强化2 . ( 教材习题改编 ) 袋中有大小相同的 5 只钢球,分别标有 1,2,3,4,5五个号码,任意抽取 2 个球,设 2 个球号码之和为 X ,则 X 的所有可能取值个数为 ( )A . 25 B . 10C . 7 D . 6答案: C三基能力强化答案: C三基能力强化3.若随机变量 X 的分布列为 P(X=i)= i2a(i=1,2,3),...

1、当您付费下载文档后,您只拥有了使用权限,并不意味着购买了版权,文档只能用于自身使用,不得用于其他商业用途(如 [转卖]进行直接盈利或[编辑后售卖]进行间接盈利)。
2、本站所有内容均由合作方或网友上传,本站不对文档的完整性、权威性及其观点立场正确性做任何保证或承诺!文档内容仅供研究参考,付费前请自行鉴别。
3、如文档内容存在违规,或者侵犯商业秘密、侵犯著作权等,请点击“违规举报”。

碎片内容

12章3课时 高三数学高考一轮课件 优化方案(理科)--第十二章 离散型随机变量及其分布列 新人教A版 高三数学高考一轮课件 优化方案(理科)--第十二章 离散型随机变量及其分布列 新人教A版

您可能关注的文档

确认删除?
VIP
微信客服
  • 扫码咨询
会员Q群
  • 会员专属群点击这里加入QQ群
客服邮箱
回到顶部