电脑桌面
添加小米粒文库到电脑桌面
安装后可以在桌面快捷访问

009“杨辉三角”与二项式系数的性质VIP免费

009“杨辉三角”与二项式系数的性质_第1页
1/7
009“杨辉三角”与二项式系数的性质_第2页
2/7
009“杨辉三角”与二项式系数的性质_第3页
3/7
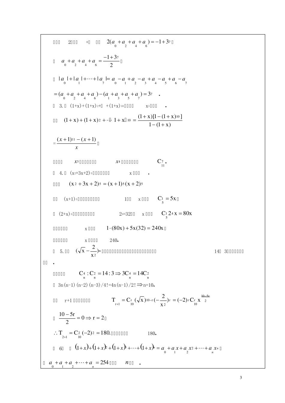
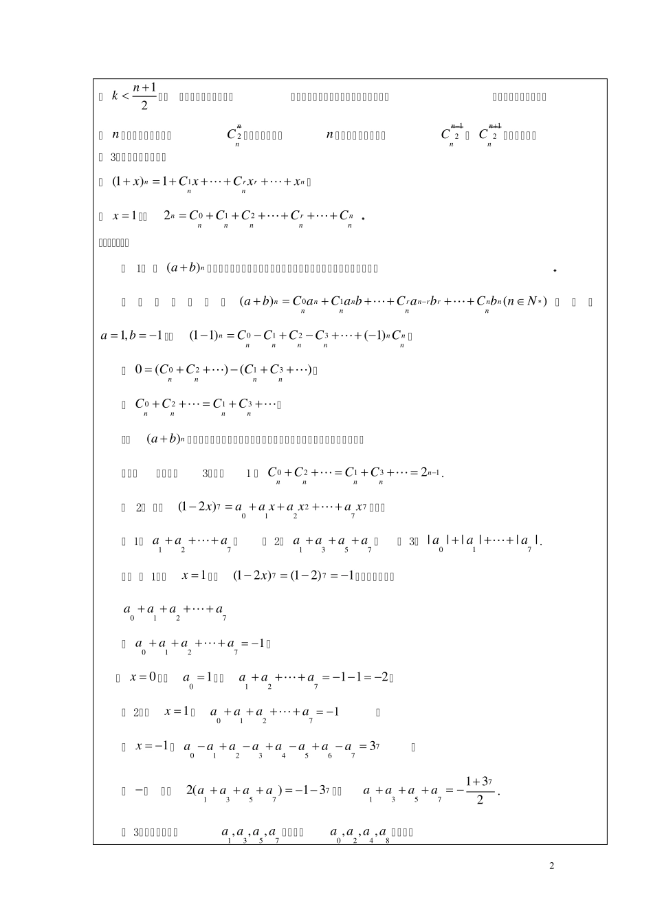
1 高二数学(选修2-3)教案 课题 1. 3. 2“杨辉三角”与二项式系数的性质 课时 第 1(共 1) 课时 教学目标 知识与 技能 掌握二项式系数的四个性质。 过程与 方法 培养观察发现,抽象概括及分析解决问题的能力。 情感态度与价值观 要启发学生认真分析书本图1- 5- 1 提供的信息,从特殊到一般,归纳猜想,合情推理得到二项式系数的性质再给出严格的证明。 教学重点 如何灵活运用展开式、通项公式、二项式系数的性质解题 教学难点 如何灵活运用展开式、通项公式、二项式系数的性质解题 教学方法 启发式 教学过程: 一.导入新课 1.二项式定理及其特例: ( 1)01()()nnnrn rrnnnnnnabC aC a bC abC b nN, ( 2)1(1)1nrrnnnxC xC xx . 2.二项展开式的通项公式:1rn rrrnTC ab  3.求常数项、有理项和系数最大的项时,要根据通项公式讨论对r 的限制;求有理项时要注意到指数及项数的整数性 二、讲解新课: 1 二项式系数表(杨辉三角) ()nab展开式的二项式系数,当n 依次取1,2,3„时,二项式系数表 ,表中每行两端都是1,除1以外的每一个数都等于它肩上两个数的和 2.二项式系数的性质: ()nab展开式的二项式系数是0nC ,1nC ,2nC ,„,nnC .rnC 可以看 成以 r 为自变量的函数( )f r 定义域是{0,1, 2,, }n,例当6n 时,其图象是7 个孤立的点(如图) ( 1)对称性.与首末两端“等距离”的两个二项式系数相等( mn mnnCC ). 直线2nr 是图象的对称轴. ( 2)增减性与最大值. 1(1)(2)(1)1!kknnn nnnknkCCkk, ∴knC 相对于1knC  的增减情况由1nkk决定,1112nknkk , 2 当12nk时,二项式系数逐渐增大.由对称性知它的后半部分是逐渐减小的,且在中间取得最大值; 当 n 是偶数时,中间一项2nnC 取得最大值;当n 是奇数时,中间两项12nnC,12nnC取得最大值. ( 3)各二项式系数和: 1(1)1nrrnnnxC xC xx , 令1x ,则0122nrnnnnnnCCCCC 三、讲解范例: 例 1. 在 ()nab的展开式中,奇数项的二项式系数的和等于偶数项的二项式系数的和 证明:在展开式01()()nnnrn rrnnnnnnabC aC a bC abC bnN中,令1,1ab  ,则0123(1 1...

1、当您付费下载文档后,您只拥有了使用权限,并不意味着购买了版权,文档只能用于自身使用,不得用于其他商业用途(如 [转卖]进行直接盈利或[编辑后售卖]进行间接盈利)。
2、本站所有内容均由合作方或网友上传,本站不对文档的完整性、权威性及其观点立场正确性做任何保证或承诺!文档内容仅供研究参考,付费前请自行鉴别。
3、如文档内容存在违规,或者侵犯商业秘密、侵犯著作权等,请点击“违规举报”。

碎片内容

009“杨辉三角”与二项式系数的性质

小辰3+ 关注
实名认证
内容提供者

出售各种资料和文档

相关文档

确认删除?
VIP
微信客服
  • 扫码咨询
会员Q群
  • 会员专属群点击这里加入QQ群
客服邮箱
回到顶部