电脑桌面
添加小米粒文库到电脑桌面
安装后可以在桌面快捷访问

高二数学 寒假作业(28)选修1-1综合质检 文 新人教A版-新人教A版高二选修1-1数学试题VIP免费

高二数学 寒假作业(28)选修1-1综合质检 文 新人教A版-新人教A版高二选修1-1数学试题_第1页
1/10
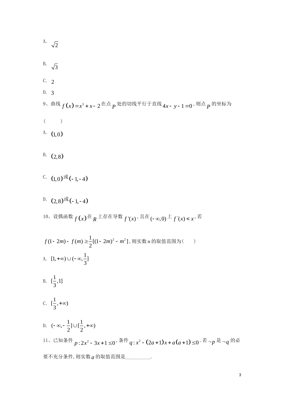
高二数学 寒假作业(28)选修1-1综合质检 文 新人教A版-新人教A版高二选修1-1数学试题_第2页
2/10
高二数学 寒假作业(28)选修1-1综合质检 文 新人教A版-新人教A版高二选修1-1数学试题_第3页
3/10
(28)选修 1-1 综合质检1、下列命题是全称命题,且为真命题的是( )A.对任意2,330xR xxB.对任意整数 x ,其平方的个位数不是8C.存在两条相交直线垂直于同一平面D.任何一个正数的倒数都比原数小2、命题“若 ,x y 都是偶数,则 xy为偶数”的逆命题、否命题、逆否命题中,正确命题的个数为( )A.1 B.2 C.3 D.43、“3x ”是“24x ”的( )A.必要不充分条件 B.充分不必要条件C.充分必要条件 D.既不充分也不必要条件4、已知函数 2( )2'(1)f xxxf,则( 1)f 与(1)f的大小关系是( )A. ( 1)(1)ffB. ( 1)(1)ffC. ( 1)(1)ffD.不能确定5、方程2212sin4sin3xyR所表示的曲线是( )A.焦点在 x 轴上的椭圆B.焦点在 y 轴上的椭圆C.焦点在 x 轴上的双曲线D.焦点在 y 轴上的双曲线16、已知双曲线222210,0xyabab的一条渐近线平行于直线l :210yx,双曲线的一个焦点在直线l 上,则双曲线的方程为( )A. 221520xyB. 221205xyC. 2233125100xyD. 2233110025xy7、若直线2yx与双曲线22221(0)xyabab有公共点,则双曲线的离心率的取值范围为( )A. 1, 5B. 1, 5C. 5,D. 5,8、设直线l 过双曲线C 的一个焦点,且与双由线C 的一条对称轴垂直, l 与C 交于,A B 两点, AB 为C 的实轴长的2 倍,则C 的离心率为( ).2A. 2B. 3C. 2D. 39、曲线 32f xxx在点 P 处的切线平行于直线410xy ,则点 P 的坐标为( )A. 1,0B. 2,8C. 1,0 或1, 4D. 2,8 或1, 410、设偶函数 f x 在 R 上存在导数'( )fx ,且在(,0) 上( )fxx,若221(12 )( )[(12 )]2fmf mmm,则实数 m 的取值范围为( )A. 1[1,)(, ]3   B. 1[ ,1]3C. 1[ ,)3 D. 11(,][ ,)22  11、已知条件2: 2310pxx  ,条件2:2110q xaxa a .若p是q的必要不充分条件,则实数a 的取值范围是__________.312、以下四个关于圆锥曲线的命题中① 设 A 、 B 为两个定点, k 为非零常数, - kPAPB �,则动点 P 的轨迹为双曲线;② 设定圆C 上一定点 A 作圆的动点弦 AB ,O 为坐标原点,若1 2OPOAOB�,则动点P 的轨迹为椭圆;③ 方程22520xx的两根可分别作...

1、当您付费下载文档后,您只拥有了使用权限,并不意味着购买了版权,文档只能用于自身使用,不得用于其他商业用途(如 [转卖]进行直接盈利或[编辑后售卖]进行间接盈利)。
2、本站所有内容均由合作方或网友上传,本站不对文档的完整性、权威性及其观点立场正确性做任何保证或承诺!文档内容仅供研究参考,付费前请自行鉴别。
3、如文档内容存在违规,或者侵犯商业秘密、侵犯著作权等,请点击“违规举报”。

碎片内容

高二数学 寒假作业(28)选修1-1综合质检 文 新人教A版-新人教A版高二选修1-1数学试题

远洋启航书店+ 关注
实名认证
内容提供者

从事历史教学,热爱教育,高度负责。

相关文档

确认删除?
VIP
微信客服
  • 扫码咨询
会员Q群
  • 会员专属群点击这里加入QQ群
客服邮箱
回到顶部