电脑桌面
添加小米粒文库到电脑桌面
安装后可以在桌面快捷访问

完整版五年级计算题500道题VIP免费

完整版五年级计算题500道题_第1页
1/13
完整版五年级计算题500道题_第2页
2/13
完整版五年级计算题500道题_第3页
3/13
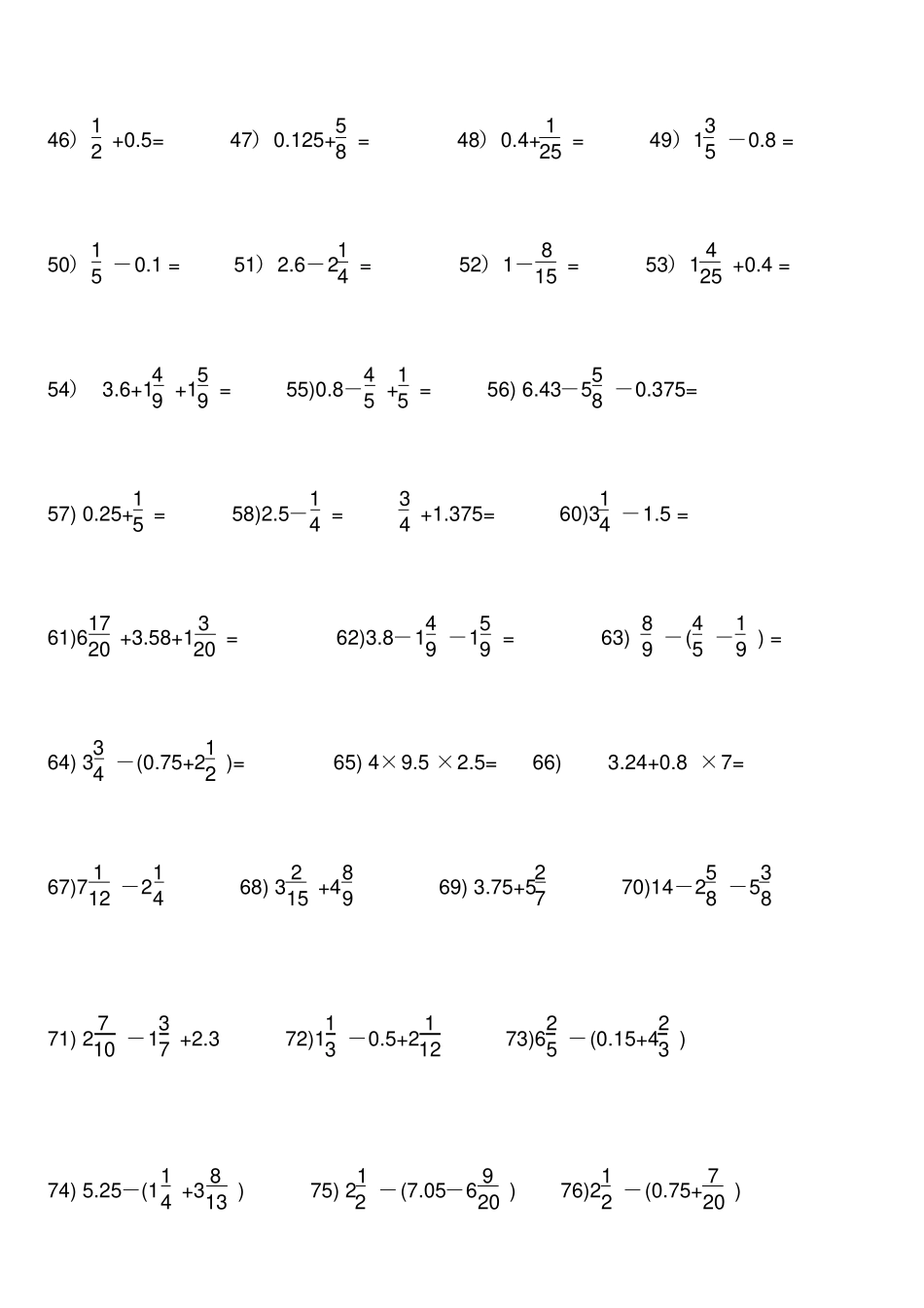
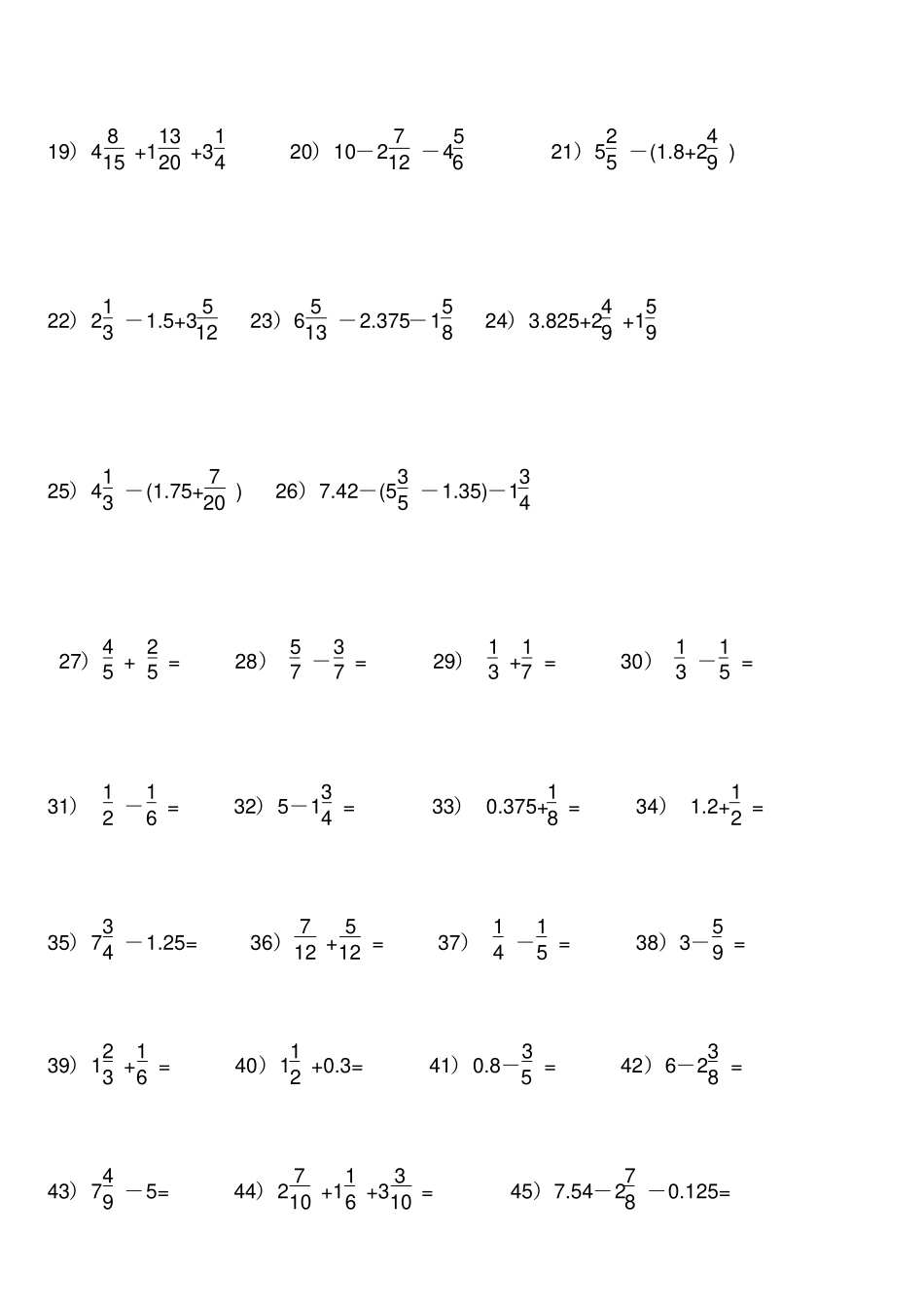
小学五年级下册计算题400 道学校:班级:姓名:1)1415 -1315 + 8152)41517 +8 712 +3 2173)618 -156 -315164)6.5+116 -4.8 5)1538 -534 +4.8 6)9.28-3 313 -2 213 -1 8137)10 314 -(2 314 +3.9) 8)1016 -31120 -2.45+1.6 9) 310 - 415 + 51810) 57+358 -4111211) 241130 -15+61612) 1516 -715 -2.8 13) 1960 +(125 -1 415 ) 14) 435 -(7.2-314 ) 15) 1714 -(558 +4.5) 16) 523 +6 310 +313 +2.7 17)18.79-(4.79+335 )-0.4 18)3.82+(738 -2.82)-53419)4 815 +11320 +31420)10-2 712 -45621)525 -(1.8+249 ) 22)213 -1.5+3 51223)6 513 -2.375-15824)3.825+249 +15925)413 -(1.75+ 720 ) 26)7.42-(535 -1.35)-13427)45 + 25 = 28) 57 -37 = 29) 13 +17 = 30) 13 -15 = 31) 12 -16 = 32)5-134 = 33) 0.375+18 = 34) 1.2+12 = 35)734 -1.25= 36)712 +512 = 37)14 -15 = 38)3-59 = 39)123 +16 = 40)112 +0.3= 41)0.8-35 = 42)6-238 = 43)749 -5= 44)2 710 +116 +3 310 = 45)7.54-278 -0.125= 46)12 +0.5= 47)0.125+58 = 48)0.4+ 125 = 49)135 -0.8 = 50)15 -0.1 = 51)2.6-214 = 52)1- 815 = 53)1 425 +0.4 = 54) 3.6+149 +159 = 55)0.8-45 +15 = 56) 6.43-558 -0.375= 57) 0.25+15 = 58)2.5-14 = 34 +1.375= 60)314 -1.5 = 61)61720 +3.58+1 320 = 62)3.8-149 -159 = 63) 89 -(45 -19 ) = 64) 334 -(0.75+212 )= 65) 4×9.5 ×2.5= 66) 3.24+0.8 ×7=67)7 112 -21468) 3 215 +48969) 3.75+52770)14-258 -53871) 2 710 -137 +2.3 72)113 -0.5+2 11273)625 -(0.15+423 ) 74) 5.25-(114 +3 813 ) 75) 212 -(7.05-6 920 ) 76)212 -(0.75+ 720 ) 77) 4.125+257 -257 +57878) 3213 -1225 -35679) 1514 +159 -21480)418 +3.8+13481)1025 -(1.5-513 ) 82) 15.25-214 +85683)1416 -2.75+1.5-31484)5.48-(635 -2.52)-1485) 4.375+659 -459 +55886) (80 ÷20+80) ÷4 87) (3.6-3.6) ÷9.188) 37.8-16.4-13.6 89) 1.3+2.9+8.7+0.1...

1、当您付费下载文档后,您只拥有了使用权限,并不意味着购买了版权,文档只能用于自身使用,不得用于其他商业用途(如 [转卖]进行直接盈利或[编辑后售卖]进行间接盈利)。
2、本站所有内容均由合作方或网友上传,本站不对文档的完整性、权威性及其观点立场正确性做任何保证或承诺!文档内容仅供研究参考,付费前请自行鉴别。
3、如文档内容存在违规,或者侵犯商业秘密、侵犯著作权等,请点击“违规举报”。

碎片内容

完整版五年级计算题500道题

确认删除?
VIP
微信客服
  • 扫码咨询
会员Q群
  • 会员专属群点击这里加入QQ群
客服邮箱
回到顶部