电脑桌面
添加小米粒文库到电脑桌面
安装后可以在桌面快捷访问

完整版余弦定理练习题含答案,推荐文档VIP免费

完整版余弦定理练习题含答案,推荐文档_第1页
1/3
完整版余弦定理练习题含答案,推荐文档_第2页
2/3
完整版余弦定理练习题含答案,推荐文档_第3页
3/3
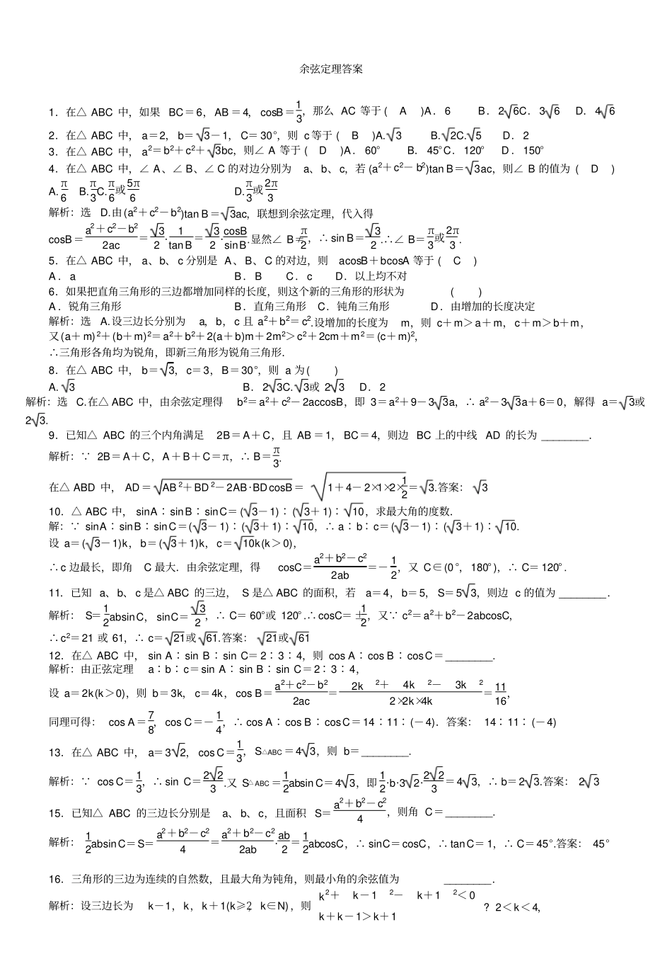
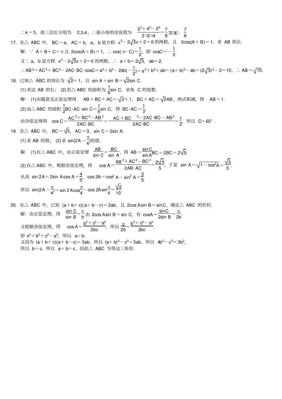
余弦定理练习题1.在△ ABC 中,如果 BC=6,AB= 4,cosB=13,那么 AC 等于 () A .6B.2 6 C.3 6 D.46 2.在△ ABC 中, a= 2,b=3- 1,C=30°,则 c 等于 () A.3 B.2 C.5 D.2 3.在△ ABC 中, a2=b2+c2+3bc,则∠ A 等于 () A .60°B. 45°C.120°D.150°4.在△ ABC 中,∠ A、∠ B、∠ C 的对边分别为a、b、c,若 (a2+c2-b2)tan B=3ac,则∠ B 的值为 () A.π6B.π3C.π6或5π6D.π3或2π35.在△ ABC 中, a、 b、c 分别是 A、B、C 的对边,则acosB+bcosA 等于 () A .aB.bC.cD.以上均不对6.如果把直角三角形的三边都增加同样的长度,则这个新的三角形的形状为() A .锐角三角形B.直角三角形C.钝角三角形D.由增加的长度决定8.在△ ABC 中, b=3,c=3, B=30°,则 a 为 () A.3 B.23 C.3或 2 3 D.2 9.已知△ ABC 的三个内角满足2B= A+C,且 AB=1,BC=4,则边 BC 上的中线 AD 的长为 ________.10.△ ABC 中, sinA∶ sinB∶sinC=(3-1)∶(3+1)∶10,求最大角的度数.11.已知 a、 b、c 是△ ABC 的三边, S是△ ABC 的面积,若a=4,b= 5,S=5 3,则边 c 的值为 ________.12.在△ ABC 中, sin A∶sin B∶ sin C=2∶3∶4,则 cos A∶ cos B∶cos C=________. 13.在△ ABC 中, a=32,cos C=13,S△ ABC =4 3,则 b=________. 15.已知△ ABC 的三边长分别是a、b、c,且面积 S=a2+b2-c24,则角 C=________. 16.三角形的三边为连续的自然数,且最大角为钝角,则最小角的余弦值为________.17.在△ ABC 中, BC=a,AC= b,a,b 是方程 x2-2 3x+2=0 的两根,且2cos(A+B)=1,求 AB 的长.18.已知△ ABC 的周长为2+1,且 sin A+sin B=2sin C.(1)求边 AB 的长; (2)若△ ABC 的面积为16sin C,求角 C 的度数.19.在△ ABC 中, BC=5,AC=3,sin C=2sin A.(1)求 AB 的值; (2)求 sin(2A-π4)的值.20.在△ ABC 中,已知 (a+b+ c)(a+ b-c)=3ab,且 2cos Asin B=sinC,确定△ ABC 的形状.余弦定理答案1.在△ ABC 中,如果 BC=6,AB =4, cosB=13,那么 AC 等于 (A)A.6 B.26C.36 D.4 6 2.在△ ABC 中, a=2, b=3-1, C= 30°,则 c 等于 (B)A.3...

1、当您付费下载文档后,您只拥有了使用权限,并不意味着购买了版权,文档只能用于自身使用,不得用于其他商业用途(如 [转卖]进行直接盈利或[编辑后售卖]进行间接盈利)。
2、本站所有内容均由合作方或网友上传,本站不对文档的完整性、权威性及其观点立场正确性做任何保证或承诺!文档内容仅供研究参考,付费前请自行鉴别。
3、如文档内容存在违规,或者侵犯商业秘密、侵犯著作权等,请点击“违规举报”。

碎片内容

完整版余弦定理练习题含答案,推荐文档

您可能关注的文档

确认删除?
VIP
微信客服
  • 扫码咨询
会员Q群
  • 会员专属群点击这里加入QQ群
客服邮箱
回到顶部