电脑桌面
添加小米粒文库到电脑桌面
安装后可以在桌面快捷访问

完整版分数混合运算专项练习430题有答案okVIP免费

完整版分数混合运算专项练习430题有答案ok_第1页
1/36
完整版分数混合运算专项练习430题有答案ok_第2页
2/36
完整版分数混合运算专项练习430题有答案ok_第3页
3/36
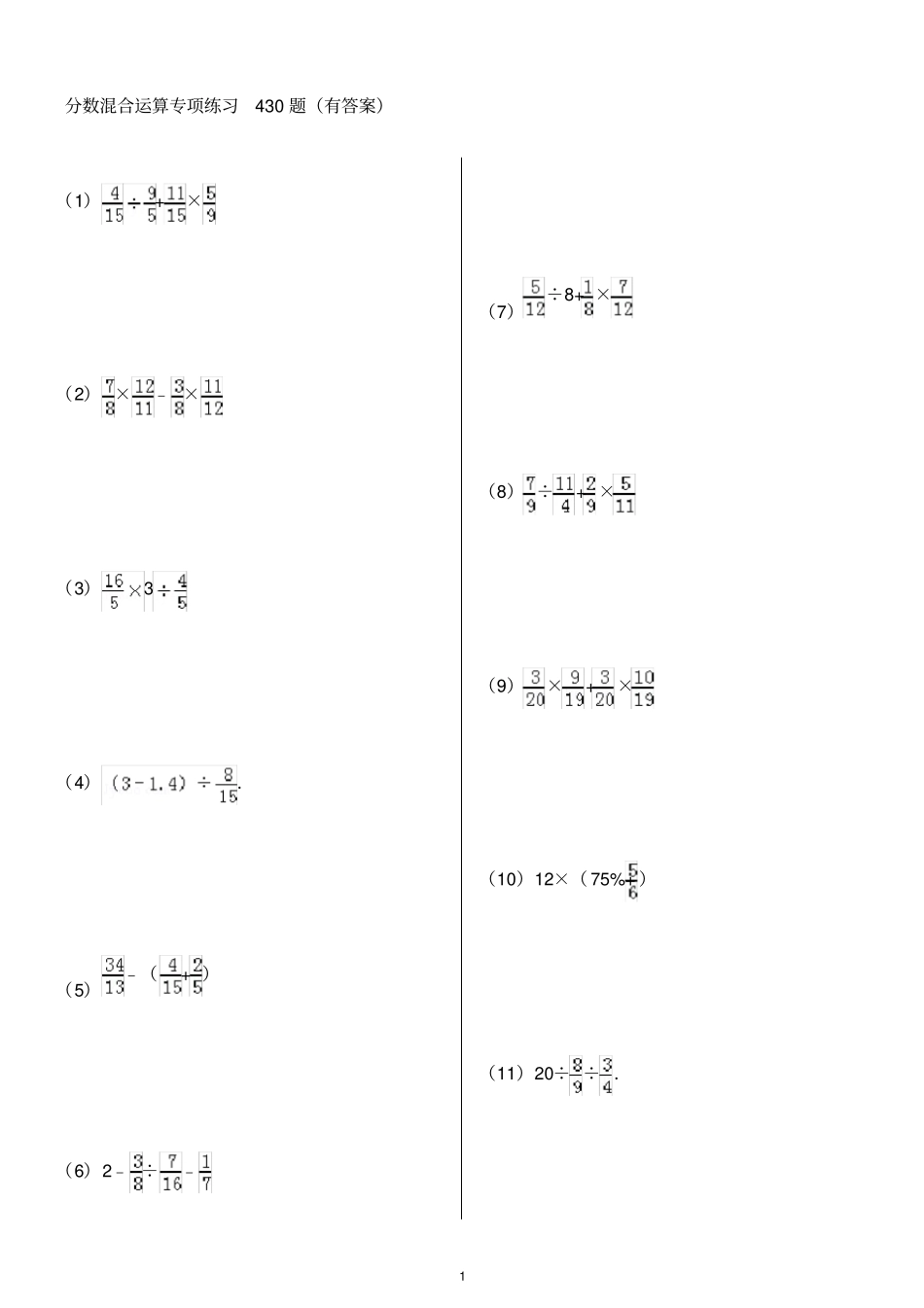
1 分数混合运算专项练习430 题(有答案)(1)+×(2) ×﹣ ×(3)3(4).(5)﹣(+ )(6)2﹣ ÷﹣(7)÷8+ ×(8) ÷+ ×(9)×+×(10)12×( 75%+ )(11)20÷ ÷ .分数混合运算 ---- 2 (12)﹣ ﹣ +(13)87×(14) ÷5+5÷(15)÷(﹣ × )(16)(17)(18)(19) ÷( ﹣ )÷,(20)〔+( ﹣ )〕÷ ,(21)42÷(÷ ),(22)( ﹣ )÷,(23) × + ÷3,分数混合运算 ---- 3 (24)12×( ÷),(25) ×7+ ×7,(26)9× ÷9× ,(27)( +)÷,(28)×19﹣,(29)( + )× 32,(30) ÷ ÷ ,(31)×87+12÷,(32)48×(),(33) ÷[×()] ,(34)[1 ﹣()] × ,(35),分数混合运算 ---- 4 (36)(37)(38)(39)(40) + ÷ + ,(41)÷7+ ×,(42)2﹣÷﹣ ,(43)×( + )+ ,(44)×+× ,(45)3﹣﹣,(46)× +÷5,分数混合运算 ---- 5 (47)( ﹣ )÷ + ,(48) +( + )×,(49) × ÷(﹣),(50)( ﹣)×100,(51) ×+× ,(52) ×+ ÷,(53)(12× ﹣7.3 )÷,(54) ÷〔(+)× ] ,(55)(×27﹣)×,(56)××18×(57) ×13+ ×27 (58) + ×5+ ×2 分数混合运算 ---- 6 (59)7×13×( ﹣)(60)×40 (61)÷ + +(62)×( + )+(63)78×(64)÷( +)(65) ×÷,(66) ÷(+ ),(67) ×7+ ×11,(68),(69)(15+ )×,(70) ﹣× ,分数混合运算 ---- 7 (71)13×+×15,(72)87×,(73) × ×32,(74) + × ,(75) ×0.25+× ,(76)25× × ×,(77)3÷ ﹣ ×,(78) ÷[ ( + )÷] ,(79)÷7× ,(80)×4,(81)×﹣ ×,(82)(1﹣ × )×,分数混合运算 ---- 8 (83)﹣,(84)××,(85) ×72﹣ ×23,(86)×25×40×,(87) ﹣(+ )(88) +( + )(89)﹣( ﹣)(90)1﹣ ﹣ .(91)0.25 ×19+5×(92)×13×30 (93) × + × +(94) ×7.6+2.4 ×0.6 .分数混合运算 ---- 9 (95)( ﹣)×36,(96) ×32× ,(97)× ﹣× ,(98)3﹣1﹣,(99) ÷ ÷ ,(100)[4 ﹣(﹣ )] ×,(101)20×+4×,(102) ÷ +4× ,(103)23.6 ×10%+13.6×910%,(104)( ﹣ )××8,...

1、当您付费下载文档后,您只拥有了使用权限,并不意味着购买了版权,文档只能用于自身使用,不得用于其他商业用途(如 [转卖]进行直接盈利或[编辑后售卖]进行间接盈利)。
2、本站所有内容均由合作方或网友上传,本站不对文档的完整性、权威性及其观点立场正确性做任何保证或承诺!文档内容仅供研究参考,付费前请自行鉴别。
3、如文档内容存在违规,或者侵犯商业秘密、侵犯著作权等,请点击“违规举报”。

碎片内容

完整版分数混合运算专项练习430题有答案ok

爱的疯狂+ 关注
实名认证
内容提供者

该用户很懒,什么也没介绍

确认删除?
VIP
微信客服
  • 扫码咨询
会员Q群
  • 会员专属群点击这里加入QQ群
客服邮箱
回到顶部