电脑桌面
添加小米粒文库到电脑桌面
安装后可以在桌面快捷访问

高三数学下学期冲刺考试考试卷 文考试卷VIP专享VIP免费

高三数学下学期冲刺考试考试卷 文考试卷_第1页
1/12
高三数学下学期冲刺考试考试卷 文考试卷_第2页
2/12
高三数学下学期冲刺考试考试卷 文考试卷_第3页
3/12
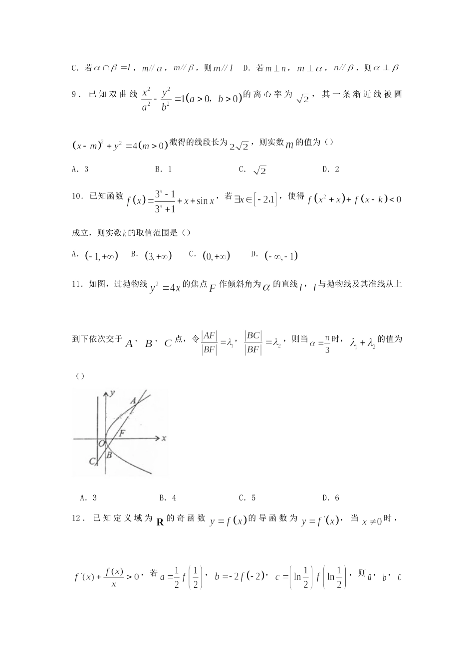
陕西省渭南市韩城市司马迁中学 2020 届高三数学下学期冲刺考试试题 文一、选择题:本大题共 12 小题,每小题 5 分,共 60 分,每题只有一个选项正确。1.已知 为虚数单位,实数 ,满足,则()A.1B.C.D.2.已知集合,集合,若,则()A.B.C.D.3.函数图象向右平移个单位后所得图象关于原点对称,可以是()A.B.C.D.4.地的天气预报显示,地在今后的三天中,每一天有强浓雾的概率为,现用随机模拟的方法估计这三天中至少有两天有强浓雾的概率,先利用计算器产生 0—9 之间整数值的随机数,并用 0,1,2,3,4,5,6 表示没有强浓雾,用 7,8,9 表示有强浓雾,再以每 3 个随机数作为一组,代表三天的天气情况,产生了如下 20 组随机数:则这三天中至少有两天有强浓雾的概率近似为()A. B. C. D.5.如图所示的三视图表示的几何体的体积为,则该几何体的外接球的表面积为()A. B. C. D.6.《九章算术》是我国古代一部数学名著,某数学爱好者阅读完其相关章节后编制了如图的程序框图,其中表示除以 的余数,例如.若输入的值为 8 时,则输出 的值为( )A.2 B.3 C.4 D.57.已知,则、、的大小排序为( )A. B. C. D.8.,是两个平面,, 是两条直线,则下列命题中错误的是()A.若,,,则 B.若,,则C.若,,,则 D.若,,,则9 . 已 知 双 曲 线的 离 心 率 为, 其 一 条 渐 近 线 被 圆截得的线段长为,则实数的值为()A.3B.1C.D.210.已知函数,若,使得成立,则实数 的取值范围是()A. B. C. D.11.如图,过抛物线的焦点作倾斜角为的直线 , 与抛物线及其准线从上到下依次交于、、点,令,,则当时,的值为() A.3 B.4C.5D.612 . 已 知 定 义 域 为的 奇 函 数的 导 函 数 为, 当时 ,,若,,,则 , ,的大小关系正确的是()A.B.C.D.二、填空题:本大题共 4 小题,每小题 5 分。13.已知实数 ,满足条件,则的最大值为__________.14.已知,,则__________.15.在中,是的中点,,点在上,且满足,则的值为___________.16 . 已 知中 , 角、、所 对 的 边 分 别 是、、且,,有以下四个命题:①的面积的最大值为 40;②满足条件的不可能是直角三角形;③ 当时 ,的 周 长 为 15 ; ④ 当时 , 若为的 内 心 , 则的面积为.其中正确命题有__________(...

1、当您付费下载文档后,您只拥有了使用权限,并不意味着购买了版权,文档只能用于自身使用,不得用于其他商业用途(如 [转卖]进行直接盈利或[编辑后售卖]进行间接盈利)。
2、本站所有内容均由合作方或网友上传,本站不对文档的完整性、权威性及其观点立场正确性做任何保证或承诺!文档内容仅供研究参考,付费前请自行鉴别。
3、如文档内容存在违规,或者侵犯商业秘密、侵犯著作权等,请点击“违规举报”。

碎片内容

高三数学下学期冲刺考试考试卷 文考试卷

慧源书店+ 关注
实名认证
内容提供者

从事历史教学,热爱教育,高度负责。

确认删除?
VIP
微信客服
  • 扫码咨询
会员Q群
  • 会员专属群点击这里加入QQ群
客服邮箱
回到顶部