电脑桌面
添加小米粒文库到电脑桌面
安装后可以在桌面快捷访问

重庆市高三数学模拟考试卷分类数列 届四川省重庆市高三数学模拟题分类(集合与常用逻辑用语、函数、三角函数、不等式、数列) 届四川省重庆市高三数学模拟题分类(集合与常用逻辑用语、函数、三角函数、不等式、数列)VIP免费

重庆市高三数学模拟考试卷分类数列 届四川省重庆市高三数学模拟题分类(集合与常用逻辑用语、函数、三角函数、不等式、数列) 届四川省重庆市高三数学模拟题分类(集合与常用逻辑用语、函数、三角函数、不等式、数列)_第1页
1/9
重庆市高三数学模拟考试卷分类数列 届四川省重庆市高三数学模拟题分类(集合与常用逻辑用语、函数、三角函数、不等式、数列) 届四川省重庆市高三数学模拟题分类(集合与常用逻辑用语、函数、三角函数、不等式、数列)_第2页
2/9
重庆市高三数学模拟考试卷分类数列 届四川省重庆市高三数学模拟题分类(集合与常用逻辑用语、函数、三角函数、不等式、数列) 届四川省重庆市高三数学模拟题分类(集合与常用逻辑用语、函数、三角函数、不等式、数列)_第3页
3/9
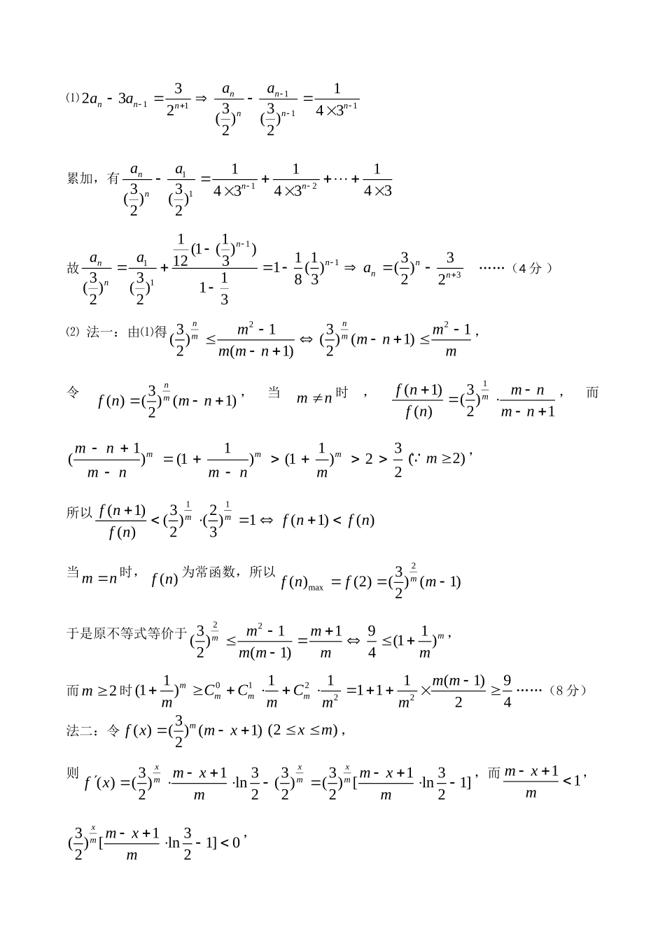
2009 届重庆市高三数学模拟试题分类数列一、选择题1、(2009 重庆八中)正项的等差数列 na中,23711220aaa ,数列 nb是等比数列,且77ba,则68b b ( )A.2 B.4 C.8 D.16D2、(2009 丰都中学)已知数列 na为等差数列,且1581aaa,则)cos(124aa 的值为 A.21 B23 C.21 D.23A3、(2009 南开中学)等差数列 na中,公差为d ,,721581aaa则 da35( )A.24 B.22 C.20 D.8A4、(2009 铁路中学)已知等差数列{an}的前 n 项和为 Sn,且 S2=10,S5=55,则过点P(n,an),Q(n+2,an+2)(n∈N*)的直线的斜率为( )A.4B.41C.-4D.-41A5、(2009 西南师大附中)设等差数列 na的前 n 项和为nS ,若28515aaa,则9S等于( )A.18 B.36 C.45 D.60 C二、填空题20071 、 ( 2009 重 庆 八 中 ) 等 差 数 列 na中 ,nS 是 其 前 n 项 和 ,12008a ,20072005220072005SS ,则2008S的值为 . 20082、(2009 朝阳中学)已知等差数列}{na的前n 项和为104,36139SS,在等比数列}{ nb中,5b5a , 77ab ,则6b = .243、(2009 重庆市)已知数列 na是等比数列,且45678910128,aaaaaaa则21510________;aaa24、(2009 丰都中学)已知数列 na是递减数列,且对任意 Nn,都有nnan2恒成立,则实数的取值范围是 .(3,)三、解答题1、(2009 重庆八中)已知数列na满足条件12116a ,113232nnnaa ,2n ⑴ 求数列na的通项公式;⑵ 已知m 为正整数,当2nm 时,证明:12331()(1)2mnnmam mn;⑶ 已知当正整数2m  时,有131( )122mm .试用该结论证明:当 1nm ,2m  时,有1(1)23321() [( )]312n mmmnnmammn.⑴11111312333243( )( )22 nnnnnnnnaaaa累加,有112111133434343( )( )22nnnnaa故1113111(1( ))1 1331231( )( )3318 322( )( )1223 nnnnnnnaaa ……(4 分 )⑵ 法一:由⑴得223131( )( ) (1)2(1)2nnmmmmmnm mnm,令3( )( ) (1)2nmf nmn,当mn 时,1(1)3( )( )21mf nmnf nmn,而1113()(1)(1)22...

1、当您付费下载文档后,您只拥有了使用权限,并不意味着购买了版权,文档只能用于自身使用,不得用于其他商业用途(如 [转卖]进行直接盈利或[编辑后售卖]进行间接盈利)。
2、本站所有内容均由合作方或网友上传,本站不对文档的完整性、权威性及其观点立场正确性做任何保证或承诺!文档内容仅供研究参考,付费前请自行鉴别。
3、如文档内容存在违规,或者侵犯商业秘密、侵犯著作权等,请点击“违规举报”。

碎片内容

重庆市高三数学模拟考试卷分类数列 届四川省重庆市高三数学模拟题分类(集合与常用逻辑用语、函数、三角函数、不等式、数列) 届四川省重庆市高三数学模拟题分类(集合与常用逻辑用语、函数、三角函数、不等式、数列)

您可能关注的文档

远洋启航书店+ 关注
实名认证
内容提供者

从事历史教学,热爱教育,高度负责。

确认删除?
VIP
微信客服
  • 扫码咨询
会员Q群
  • 会员专属群点击这里加入QQ群
客服邮箱
回到顶部