电脑桌面
添加小米粒文库到电脑桌面
安装后可以在桌面快捷访问

完整版圆锥曲线的光学性质VIP免费

完整版圆锥曲线的光学性质_第1页
1/9
完整版圆锥曲线的光学性质_第2页
2/9
完整版圆锥曲线的光学性质_第3页
3/9
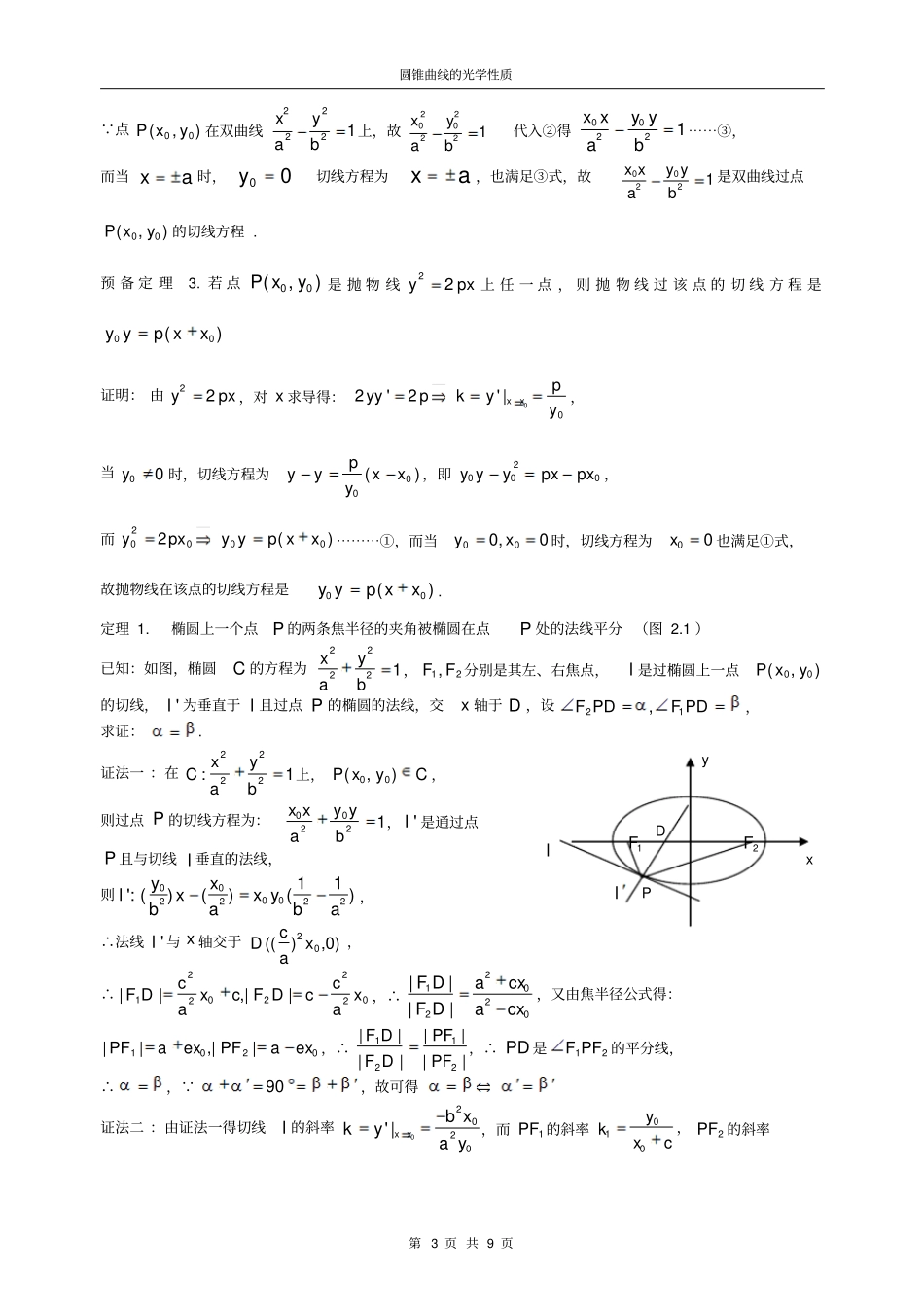
圆锥曲线的光学性质第 1 页 共 9 页圆锥曲线光学性质的证明及应用初探一、圆锥曲线的光学性质1.1 椭圆的光学性质:从椭圆一个焦点发出的光,经过椭圆反射后,反射光线都汇聚到椭圆的另一个焦点上; ( 见图 1.1) 椭圆的这种光学特性,常被用来设计一些照明设备或聚热装置.例如在1F 处放置一个热源,那么红外线也能聚焦于2F 处,对2F 处的物体加热。电影放映机的反光镜也是这个原理。证明:由导数可得 切线 l 的斜率02020x xb xkya y,而1PF 的斜率010ykxc,2PF 的斜率020ykxc∴ l 到1PF 所成的角满足2002222220000012222001000200tan11yb xxca ya yb xb cxkkb x ykkabx ya cyxc a y,00,P x y在椭圆上,∴20tanbcy,同理,2PF 到 l 所成的角满足2220tan1kkbkkcy,∴ tantan,而,0,2,∴1.2 双曲线的光学性质:从双曲线一个焦点发出的光,经过双曲线反射后,反射光线的反向延长线都汇聚到双曲线的另一个焦点上;(见图 1.2) .双曲线这种反向虚聚焦性质,在天文望远镜的设计等方面,也能找到实际应用.1.3 抛物线的光学性质:从抛物线的焦点发出的光,经过抛物线反射后,反射光线都平行于抛物线的轴(如图1.3 )抛物线这种聚焦特性,成为聚能装置或定向发射装置的最佳选择.例如探照灯、汽车大灯等反射镜面的纵剖线是抛物线,把光源置于它的焦点处,经镜面反射后能成为平行光束,使照射距离加大,并可通过转动抛物线的对称轴方向,控制照射方向.卫星通讯像碗一样接收或发射天线,一般也是以抛物线绕对称轴旋转得到的,把接收器置于其焦点,抛物线的对称轴跟踪对准卫星,这样可以把卫星发射的微弱电磁波讯号射线,最大限度地集中到接收器上,保证接收效果;反之,把发射装置安装在焦点,把对称轴跟踪对准卫星,则可以使发射的电磁波讯号射线能平行地到达卫星的接收装置,同样保证接收效果.最常见的太阳能热水器,它也是以抛物线镜面聚集太阳光,以加热焦点处的贮水器的.图 1.3 F2 F1 图 1.2 A F1 F2D O 图 1.1 B 圆锥曲线的光学性质第 2 页 共 9 页要探究圆锥曲线的光学性质,首先必须将这样一个光学实际问题,转化为数学问题,进行解释论证。二、问题转化及证明2.1 圆锥曲线的切线与法线的定义设直线 l 与曲线 C 交于 P , Q 两点,当直线 l 连续变动时,P , Q 两点沿着曲线渐渐靠近,一直到 P ,Q 重合为一点 M , 此时直线 l 称为曲线 c 在点 M...

1、当您付费下载文档后,您只拥有了使用权限,并不意味着购买了版权,文档只能用于自身使用,不得用于其他商业用途(如 [转卖]进行直接盈利或[编辑后售卖]进行间接盈利)。
2、本站所有内容均由合作方或网友上传,本站不对文档的完整性、权威性及其观点立场正确性做任何保证或承诺!文档内容仅供研究参考,付费前请自行鉴别。
3、如文档内容存在违规,或者侵犯商业秘密、侵犯著作权等,请点击“违规举报”。

碎片内容

完整版圆锥曲线的光学性质

文库当当响+ 关注
实名认证
内容提供者

该用户很懒,什么也没介绍

相关文档

确认删除?
VIP
微信客服
  • 扫码咨询
会员Q群
  • 会员专属群点击这里加入QQ群
客服邮箱
回到顶部