电脑桌面
添加小米粒文库到电脑桌面
安装后可以在桌面快捷访问

土力学第二版课后习题答案VIP免费

土力学第二版课后习题答案_第1页
1/35
土力学第二版课后习题答案_第2页
2/35
土力学第二版课后习题答案_第3页
3/35
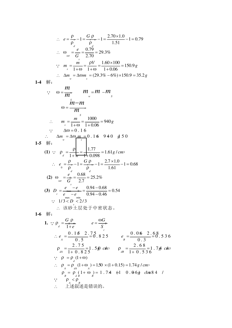
 2.70 1.01110.791.51sswddGe     0.7929.3%2.70satseG 1.60 100150.9111 0.06smVmg  (29.3%6%) 150.935.2wsmmg  1 -4 解: wSmm  wSmm m sSm mm   100094011 0.06smmg 0 . 1 6  0 . 1 69 4 01 5 0wsmmg  1 -5 解: (1 ) 31.771.61 /11 0.098dg cmw   02.7 1.01110.681.61sswddGe    (2 ) 00.6825.2%2.7satseG (3 ) max0maxmin0.940.680.540.940.46reeDee 1/ 32 / 3rD  该砂土层处于中密状态。 1 -6 解: 1 . 1SdGe  SrGeS 0 . 1 52 . 7 50 . 8 2 50 . 5Ae 0 . 0 62 . 6 80 . 5 3 60 . 3Be 32 . 7 51 . 5 0/10 . 8 2 5dAg cm 32 . 6 81 . 7 4/10 . 5 3 6dBg cm (1)d  3(1)1.50(10.15)1.74/AdAAg cm 3( 1)1 . 7 4( 10 . 0 6 )1 . 8 4/Bd BBgc m AB  上述叙述是错误的。 2. 32.751.50/1 0.825dAg cm 32 . 6 81 . 7 4/10 . 5 3 6dBg cm d Ad B  上述叙述是错误的。 3. 0.15 2.750.8250.5Ae 0 . 0 62 . 6 80 . 5 3 60 . 3Be ABee  上述叙述是正确的。 1-7 证明: (1) /1/11sssssswdsVVsmmmVGVVVVVee  1nen   1()(1)11 1swswswGGGnnen  (2) 1/111swwVwswswssVsswwrsrwsVVsmVVVmmVVVVGS eGS emVVVVVeee(3) 1'1111swsswsswsswswwswVsVsmmVmVVGGVVVVeeeV 1-8 解: (1) 对A 土进行分类 ① 由粒径分布曲线图,查得粒径大于 0.075 ㎜的粗粒含量大于 50%,所以A土属于粗粒土; ② 粒径大于 2 ㎜的砾粒含量小于 50%,所以 A土属于砂类,但小于 0.075㎜的细粒含量为 27%,在 15%~50%之间,因而 A土属于细粒土质砂; ③ 由于 A土的液限为 16.0%,塑性指数16133pI  ,在 17 ㎜塑性图上落在 ...

1、当您付费下载文档后,您只拥有了使用权限,并不意味着购买了版权,文档只能用于自身使用,不得用于其他商业用途(如 [转卖]进行直接盈利或[编辑后售卖]进行间接盈利)。
2、本站所有内容均由合作方或网友上传,本站不对文档的完整性、权威性及其观点立场正确性做任何保证或承诺!文档内容仅供研究参考,付费前请自行鉴别。
3、如文档内容存在违规,或者侵犯商业秘密、侵犯著作权等,请点击“违规举报”。

碎片内容

土力学第二版课后习题答案

小辰8+ 关注
实名认证
内容提供者

出售各种资料和文档

确认删除?
VIP
微信客服
  • 扫码咨询
会员Q群
  • 会员专属群点击这里加入QQ群
客服邮箱
回到顶部