电脑桌面
添加小米粒文库到电脑桌面
安装后可以在桌面快捷访问

等差数列与等比数列十大例题VIP免费

等差数列与等比数列十大例题_第1页
1/7
等差数列与等比数列十大例题_第2页
2/7
等差数列与等比数列十大例题_第3页
3/7
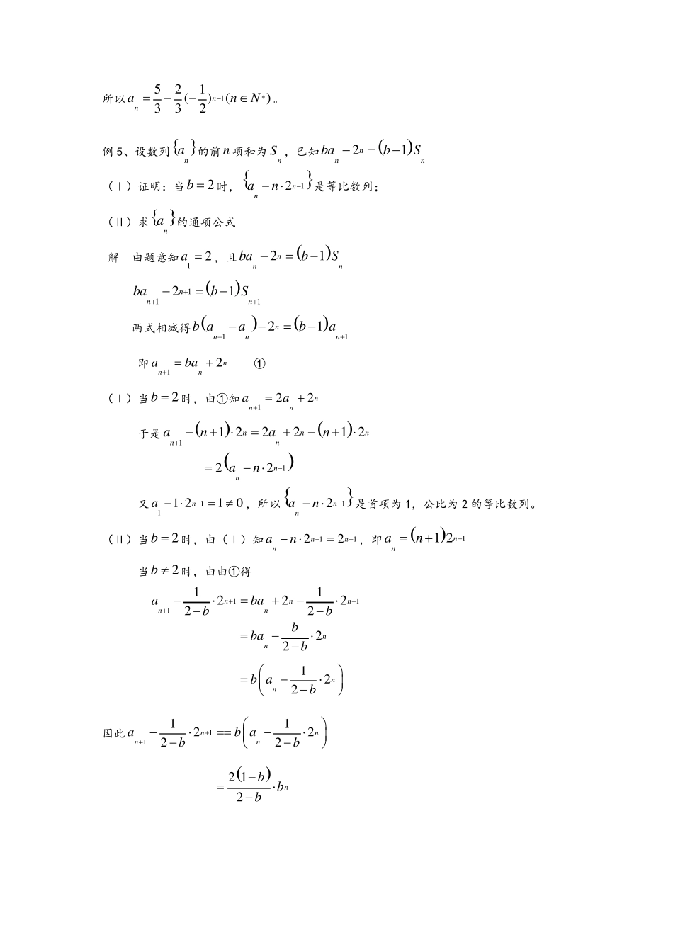
等差数列与等比数列十大例题 例1、已知等差数列 na满足:37a ,5726aa, na的前n 项和为nS . (Ⅰ)求na 及nS ; (Ⅱ)令 bn=211na(nN*),求数列 nb的前n 项和nT . 【解析】(Ⅰ)设等差数列 na的公差为d,因为37a ,5726aa,所以有 112721026adad,解得13,2ad, 所以321)=2n+1nan(;nS =n(n-1)3n+22=2n +2n 。 (Ⅱ)由(Ⅰ)知2n+1na ,所以 bn=211na=21=2n+1)1(114 n(n+1)= 111(-)4n n+1, 所以nT = 111111(1-+++-)4223n n+1= 11(1-)=4n+1n4(n+1) , 即数列 nb的前n 项和nT =n4(n+1) 。 【命题意图】本题考查等差数列的通项公式与前n 项和公式的应用、裂项法求数列的和,熟练数列的基础知识是解答好本类题目的关键。 例2、 设nS 为数列{}na的前n 项和,2nSknn,*nN,其中k 是常数. (I) 求1a 及na ; (II)若对于任意的 *mN,ma ,2ma,4ma成等比数列,求k 的值. 解(Ⅰ)当1,111kSan, 12)]1()1([,2221kknnnknknSSannnn( ) 经验,,1n( )式成立, 12kknan (Ⅱ)mmmaaa42 ,,成等比数列,mmmaaa422., 即)18)(12()14(2kkmkkmkkm,整理得:0)1(kmk, 对任意的  Nm成立, 10kk或 例3、 等比数列{na }的前n 项和为ns ,已知1S ,3S ,2S 成等差数列 (1)求{na }的公比q; (2)求1a -3a =3,求ns 解:(Ⅰ)依题意有 )(2)(2111111qaqaaqaaa 由于 01 a,故 022 qq 又0q,从而21-q 5 分 (Ⅱ)由已知可得321211)(aa 故41 a 从而))(()())((nnn211382112114S 10 分 例 4、已知数列 }na满足, *11212,,2nnnaaaaanN’+2==.   令1nnnbaa,证明:{ }nb是等比数列; (Ⅱ)求 }na的通项公式。 (1)证1211,baa 当2n 时,1111,11()222nnnnnnnnnaabaaaaab   所以 nb是以 1 为首项,12为公比的等比数列。 (2)解由(1)知111(),2nnnnbaa  当2n 时,121321()()()nnnaaaaaaaa2111 1 ()()22n     111 ()2111 ()2n   2211[1 ()]...

1、当您付费下载文档后,您只拥有了使用权限,并不意味着购买了版权,文档只能用于自身使用,不得用于其他商业用途(如 [转卖]进行直接盈利或[编辑后售卖]进行间接盈利)。
2、本站所有内容均由合作方或网友上传,本站不对文档的完整性、权威性及其观点立场正确性做任何保证或承诺!文档内容仅供研究参考,付费前请自行鉴别。
3、如文档内容存在违规,或者侵犯商业秘密、侵犯著作权等,请点击“违规举报”。

碎片内容

等差数列与等比数列十大例题

您可能关注的文档

确认删除?
VIP
微信客服
  • 扫码咨询
会员Q群
  • 会员专属群点击这里加入QQ群
客服邮箱
回到顶部