电脑桌面
添加小米粒文库到电脑桌面
安装后可以在桌面快捷访问

跌倒坠床风险评估总结分析2季度分析VIP免费

跌倒坠床风险评估总结分析2季度分析_第1页
1/6
跌倒坠床风险评估总结分析2季度分析_第2页
2/6
跌倒坠床风险评估总结分析2季度分析_第3页
3/6
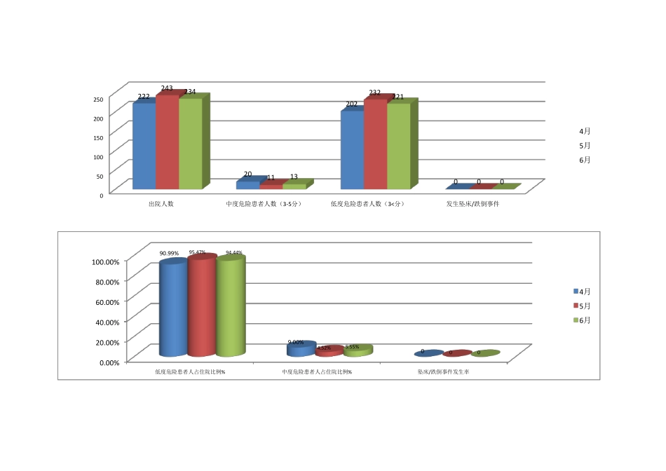
XXXXX 2016 年第二季度风险评估总结分析 患者入院进行跌倒/坠床、压疮风险评估,通过评估划分风险人群,住院期间对于高危人群加强护理及并制定相应的防范措施,规避护理过程中存在的风险,保证患者安全,提高护理质量重要措施。现将 2016 年二季度我科风险评估情况进行分析如下: 2016 年 2 季度患者坠床/跌倒风险评估落实情况表 月份 出院人数 中度危险患者人数(3-5分) 低度危险患者人数(3<分) 发生坠床/跌倒事件 低度危险患者人占住院比例% 中度危险患者人占住院比例% 坠床/跌倒事件发生率 4 月 222 20 202 0 90.99% 9.00% 0 5 月 243 11 232 0 95.47% 4.52% 0 6 月 234 13 221 0 94.44% 5.55% 0 050100150200250出院人数中度危险患者人数(3-5分)低度危险患者人数(3<分)发生坠床/跌倒事件2222020202431123202341322104月5月6月0.00%20.00%40.00%60.00%80.00%100.00%低度危险患者人占住院比例%中度危险患者人占住院比例%坠床/跌倒事件发生率90.99%9.00%095.47%4.52%094.44%5.55%04月5月6月2016 年2 季度患者压疮风险评估落实情况表 月份 出院人数 压疮风险评估人数 高度危险患者人数(10-12 分) 中度危险患者人数(13-14分) 轻度危险患者人数(15-18 分) 发生压疮事件 中度危险患者人占 住 院比例% 轻度危险患者人占住院比例% 压疮事件发生率 4 月 222 222 0 0 5 0 0.00% 2.23% 0 5 月 243 243 0 1 2 0 0.41% 0.82% 0 6 月 234 234 0 2 0 0 0.80% 0.00% 0 050100150200250出院人数压疮风险评估人数高度危险患者人数(10-12分)中度危险患者人数(13-14分)轻度危险患者人数(15-18分)发生压疮事件2222220050243243012023423402004月5月6月 2016 年1、2 季度风险评估情况及不良事件发生率 0.00%0.50%1.00%1.50%2.00%2.50%中度危险患者人占住院比例%轻度危险患者人占住院比例%压疮事件发生率0.00%2.23%00.41%0.82%00.80%0.00%04月5月6月0.27%33.51%93.37%6.63%0.15%0.40%1.02%6.29%93.71%0.00%0.00%10.00%20.00%30.00%40.00%50.00%60.00%70.00%80.00%90.00%100.00%压疮中度危险病患率%压疮轻度危险病患率%跌倒/坠床中度危险患者比例%跌倒/坠床低度危险患者比例%坠床/跌倒事件发生率一季度二季度一、数据分析 : 1、 从以上图表反应出,2016 年呼吸内科二季共收住患者 699 人次,入院进行跌倒/坠床风险评估患者 699 人,评...

1、当您付费下载文档后,您只拥有了使用权限,并不意味着购买了版权,文档只能用于自身使用,不得用于其他商业用途(如 [转卖]进行直接盈利或[编辑后售卖]进行间接盈利)。
2、本站所有内容均由合作方或网友上传,本站不对文档的完整性、权威性及其观点立场正确性做任何保证或承诺!文档内容仅供研究参考,付费前请自行鉴别。
3、如文档内容存在违规,或者侵犯商业秘密、侵犯著作权等,请点击“违规举报”。

碎片内容

跌倒坠床风险评估总结分析2季度分析

小辰4+ 关注
实名认证
内容提供者

出售各种资料和文档

确认删除?
VIP
微信客服
  • 扫码咨询
会员Q群
  • 会员专属群点击这里加入QQ群
客服邮箱
回到顶部