电脑桌面
添加小米粒文库到电脑桌面
安装后可以在桌面快捷访问

0404高斯积分法及其应用VIP免费

0404高斯积分法及其应用_第1页
1/6
0404高斯积分法及其应用_第2页
2/6
0404高斯积分法及其应用_第3页
3/6
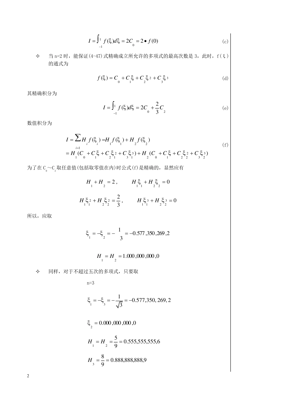
1 §4 -4 高斯积分法及其应用  由§4-3 知,在计算空间等参数单元的载荷列阵及刚度矩阵时,需用到如下形式的定积分: ddf 1111),(; dddf  111111),,( 其中被积分函数 f(ξ,η,ζ)一般是很复杂的,即使能够得出它的显式,其积分也是很繁的。因此,一般用数值积分来代替函数的定积分。  数值积分:在积分区域内按一定规则选出一些点,称为积分点,算出被积函数 f(ξ,η,ζ)在这些积分点处的值,然后再乘以相应的加权系数并求和,作为近似的积分值。  数值积分的方法有多种,其中高斯积分法可以用相同的积分点数达到较高的精度,或者说用较少的积分数达到同样的精度。 一、高斯积分法 1 .一维积分的高斯公式  一维积分的高斯公式 niii fHdf111)()( (4-47) 其中 f(ξi)是被积函数在积分点ξi处的数值,Hi为加数系数,n 为积分点数目。  可以证明,  对于 n 个积分点,只要选取适当的加数系数及积分点位置,能够使(4-47)式在被积分函数为不超过(2n-1)次多项式时精确成立。  由于多数函数可表示成多项式形式,这种积分适应于大多数函数。  例如,  n=1 时 )()(1111fHdfI  (a) 不论 f(ξ)的次数是 0 还是 1,只需取 H1=2,ξ1=0,上式均是精确成立的。因为 10)(CCf (b) 2 101( )22(0 )IfdCf• (c)  当n=2 时,能保证(4-47)式精确成立所允许的多项式的最高次数是3,此时,f(ξ)的通式为 332210)(CCCCf (d) 其精确积分为 2011322)(CCdfI  (e) 数值积分为 )()()()()(323222102313212101221121CCCCHCCCCHfHfHfHIiii  (f) 为了在 C0~C3取任意值(包括取零值在内)时公式(f)是精确的,显然应有 221 HH, 02211HH 32222211HH, 0322311HH 所以,应取 2,2 6 9,3 5 0,5 7 7.03121  0,0 0 0,0 0 0,0 0 0.121 HH  同样,对于不超过五次的多项式,只要取 n=3 1310 .5 7 7 ,3 5 0 , 2 6 9 , 23    0,0 0 0,0 0 0,0 0 0.02  6,5 5 5,5 5 5,5 5 5.09521 HH 9,8 8 8,8 8 8,8 8 8.0983H 3 即可保证得到精确的积分值。  对于n...

1、当您付费下载文档后,您只拥有了使用权限,并不意味着购买了版权,文档只能用于自身使用,不得用于其他商业用途(如 [转卖]进行直接盈利或[编辑后售卖]进行间接盈利)。
2、本站所有内容均由合作方或网友上传,本站不对文档的完整性、权威性及其观点立场正确性做任何保证或承诺!文档内容仅供研究参考,付费前请自行鉴别。
3、如文档内容存在违规,或者侵犯商业秘密、侵犯著作权等,请点击“违规举报”。

碎片内容

0404高斯积分法及其应用

小辰8+ 关注
实名认证
内容提供者

出售各种资料和文档

确认删除?
VIP
微信客服
  • 扫码咨询
会员Q群
  • 会员专属群点击这里加入QQ群
客服邮箱
回到顶部