电脑桌面
添加小米粒文库到电脑桌面
安装后可以在桌面快捷访问

函数值域求法(例题)VIP免费

函数值域求法(例题)_第1页
1/9
函数值域求法(例题)_第2页
2/9
函数值域求法(例题)_第3页
3/9
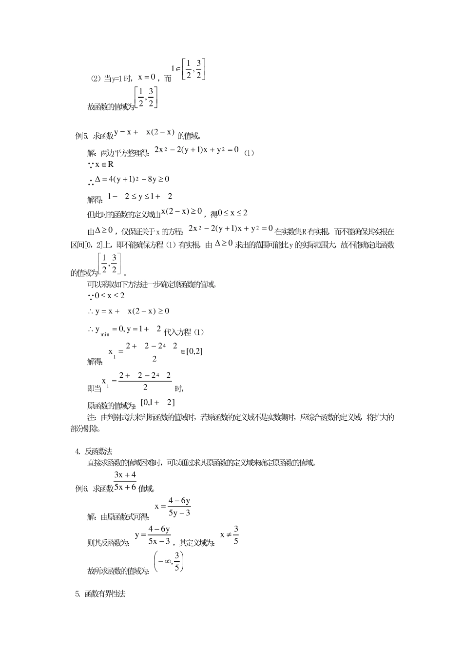
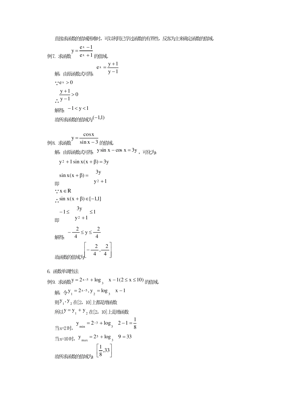
函数值域求法(例题) 在函数的三要素中,定义域和值域起决定作用,而值域是由定义域和对应法则共同确定。研究函数的值域,不但要重视对应法则的作用,而且还要特别重视定义域对值域的制约作用。确定函数的值域是研究函数不可缺少的重要一环。对于如何求函数的值域,是学生感到头痛的问题,它所涉及到的知识面广,方法灵活多样,在高考中经常出现,占有一定的地位,若方法运用适当,就能起到简化运算过程,避繁就简,事半功倍的作用。本文就函数值域求法归纳如下,供参考。 1. 直接观察法 对于一些比较简单的函数,其值域可通过观察得到。 例1. 求函数x1y的值域。 解: 0x ∴0x1  显然函数的值域是:),0()0,( 例2. 求函数x3y的值域。 解: 0x 3x3,0x 故函数的值域是:]3,[ 2. 配方法 配方法是求二次函数值域最基本的方法之一。 例3. 求函数]2,1[x,5x2xy2的值域。 解:将函数配方得:4)1x(y2  ]2,1[x 由二次函数的性质可知:当x=1时,4ymin ,当1x 时,8ymax 故函数的值域是:[4,8] 3. 判别式法 例4. 求函数22x1xx1y的值域。 解:原函数化为关于x的一元二次方程 0x)1y(x)1y(2 (1)当1y 时,Rx 0)1y)(1y(4)1(2 解得: 23y21 (2)当y=1时,0x,而23,211 故函数的值域为23,21 例5. 求函数)x2(xxy的值域。 解:两边平方整理得:0yx)1y(2x222(1) Rx ∴0y8)1y(42 解得:21y21 但此时的函数的定义域由0)x2(x,得2x0 由0,仅保证关于x的方程:0yx)1y(2x222在实数集R有实根,而不能确保其实根在区间[0,2]上,即不能确保方程(1)有实根,由 0求出的范围可能比y的实际范围大,故不能确定此函数的值域为23,21。 可以采取如下方法进一步确定原函数的值域。 2x0 0)x2(xxy 21y,0ymin代入方程(1) 解得:]2,0[22222x41 即当22222x41时, 原函数的值域为:]21,0[ 注:由判别式法来判断函数的值域时,若原函数的定义域不是实数集时,应综合函数的定义域,将扩大的部分剔除。 4. 反函数法 直接求函数的值域困难时,可以通过求其原函数的定义域来确定原函数的值域。 例6. 求函数6x54x3值域。 解:由原函数式可得:3y5y64x...

1、当您付费下载文档后,您只拥有了使用权限,并不意味着购买了版权,文档只能用于自身使用,不得用于其他商业用途(如 [转卖]进行直接盈利或[编辑后售卖]进行间接盈利)。
2、本站所有内容均由合作方或网友上传,本站不对文档的完整性、权威性及其观点立场正确性做任何保证或承诺!文档内容仅供研究参考,付费前请自行鉴别。
3、如文档内容存在违规,或者侵犯商业秘密、侵犯著作权等,请点击“违规举报”。

碎片内容

函数值域求法(例题)

您可能关注的文档

确认删除?
VIP
微信客服
  • 扫码咨询
会员Q群
  • 会员专属群点击这里加入QQ群
客服邮箱
回到顶部