电脑桌面
添加小米粒文库到电脑桌面
安装后可以在桌面快捷访问

平面向量的数量积练习题含答案VIP专享VIP免费

平面向量的数量积练习题含答案_第1页
1/6
平面向量的数量积练习题含答案_第2页
2/6
平面向量的数量积练习题含答案_第3页
3/6
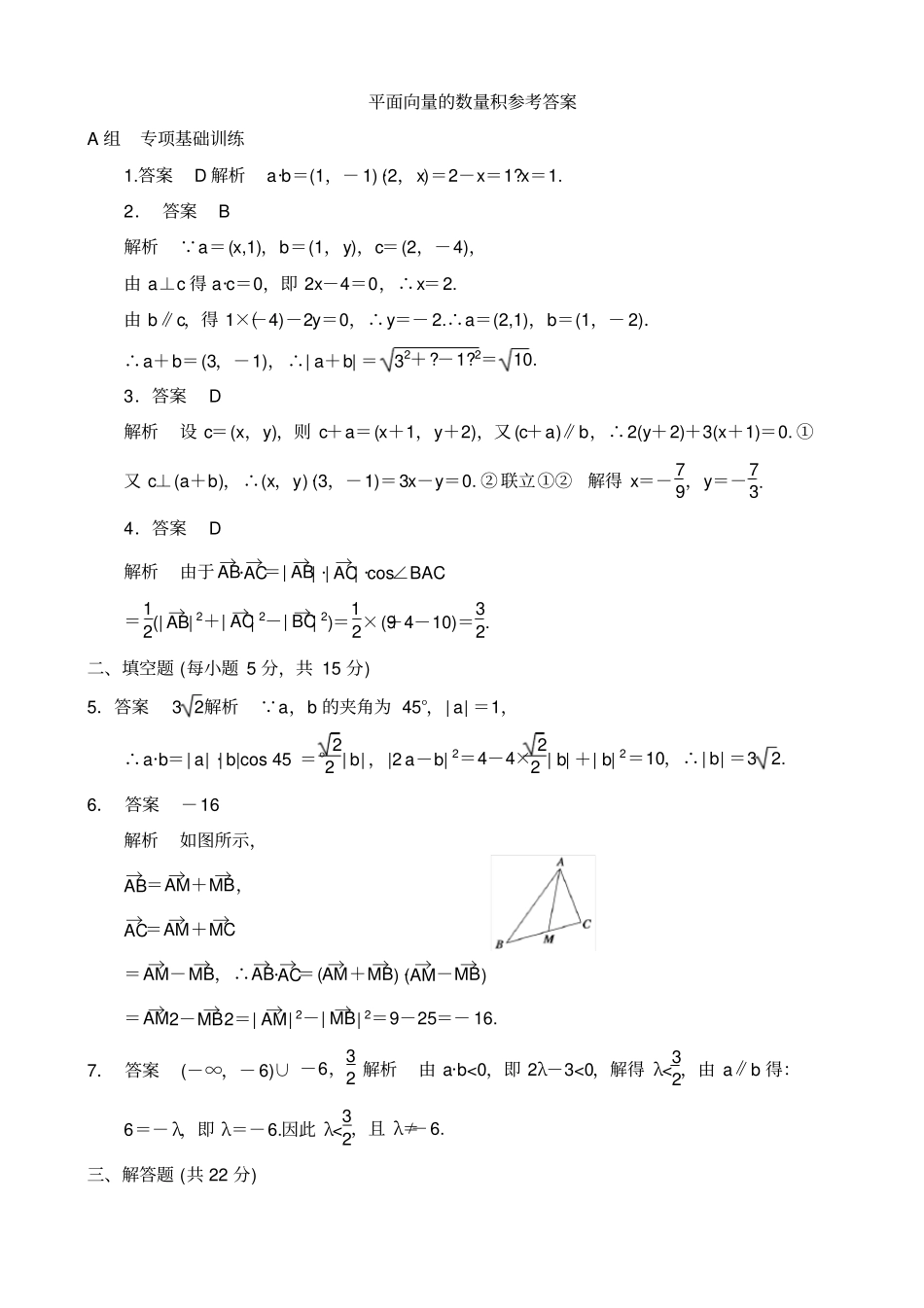
平面向量的数量积A 组专项基础训练一、选择题 (每小题 5 分,共 20 分)1. (2012 ·辽宁)已知向量 a=(1,- 1),b=(2,x),若 a·b=1,则 x 等于()A.- 1 B.- 12C.12D.12. (2012 ·重庆)设 x,y∈R,向量 a=(x,1),b=(1,y),c=(2,-4),且 a⊥c,b∥c,则| a+b| 等于()A. 5 B. 10 C.25 D.103. 已知向量 a=(1,2),b=(2,-3).若向量 c 满足(c+a)∥b,c⊥(a+b),则 c 等于 ()A.79,73B. -73,- 79C.73,79D. -79,- 734. 在△ABC中, AB= 3,AC=2,BC=10,则AB→·AC→等于()A.- 32B.- 23C.23D.32二、填空题 (每小题 5 分,共 15 分)5.已知向量 a,b 夹角为 45°,且 | a| =1,|2 a-b| =10,则 | b| =________.6.在 △ABC中,M 是 BC的中点, AM=3,BC=10,则AB→·AC→=________.7. 已知 a=(2,- 1),b=(λ,3),若 a 与 b 的夹角为钝角,则λ 的取值范围是 __________.三、解答题 (共 22 分)8. (10 分)已知 a=(1,2),b=(-2,n) (n>1),a 与 b 的夹角是 45°.(1)求 b;(2)若 c 与 b 同向,且 a 与 c-a 垂直,求 c.9. (12 分)设两个向量 e1、e2 满足| e1| =2,| e2| =1,e1、e2 的夹角为 60°,若向量 2te1+7e2与向量 e1+te2 的夹角为钝角,求实数t 的取值范围.B 组专项能力提升一、选择题 (每小题 5 分,共 15 分)1.在 △ABC中,AB=2,AC=3,AB→·BC→=1,则 BC等于()A. 3 B. 7 C.2 2 D. 232. 已知 | a| =6,| b| =3,a·b=- 12,则向量 a 在向量 b 方向上的投影是 ()A.- 4 B.4 C.- 2 D.23.在直角三角形 ABC中,点 D 是斜边 AB的中点, 点 P 为线段 CD的中点,则| PA| 2+| PB| 2| PC| 2等于()A.2 B.4 C.5 D.10二、填空题 (每小题 5 分,共 15 分)4.设向量 a=(1,2m),b=(m+1,1),c=(2,m).若 (a+c)⊥b,则 | a| =________.5.如图,在矩形 ABCD中, AB=2,BC=2,点 E 为 BC的中点,点F 在边 CD上,若 AB→·AF→=2,则 AE→·BF→的值是 ________.6.在矩形 ABCD中,边 AB、AD 的长分别为 2、1,若 M、N 分别是边 BC、CD上的点,且满足| BM→ || BC→|=| CN→|| CD→|,则AM→ ·AN→的取值范围是 ________.三、解答题7. (13 分)设平面上...

1、当您付费下载文档后,您只拥有了使用权限,并不意味着购买了版权,文档只能用于自身使用,不得用于其他商业用途(如 [转卖]进行直接盈利或[编辑后售卖]进行间接盈利)。
2、本站所有内容均由合作方或网友上传,本站不对文档的完整性、权威性及其观点立场正确性做任何保证或承诺!文档内容仅供研究参考,付费前请自行鉴别。
3、如文档内容存在违规,或者侵犯商业秘密、侵犯著作权等,请点击“违规举报”。

碎片内容

平面向量的数量积练习题含答案

确认删除?
VIP
微信客服
  • 扫码咨询
会员Q群
  • 会员专属群点击这里加入QQ群
客服邮箱
回到顶部