电脑桌面
添加小米粒文库到电脑桌面
安装后可以在桌面快捷访问

函数的基本性质知识点归纳与题型总结VIP免费

函数的基本性质知识点归纳与题型总结_第1页
1/8
函数的基本性质知识点归纳与题型总结_第2页
2/8
函数的基本性质知识点归纳与题型总结_第3页
3/8
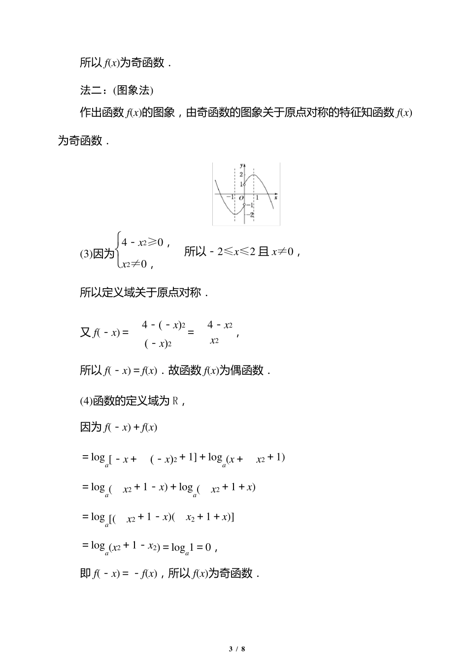
1 / 8 函数的基本性质知识点归纳与题型总结 一、知识归纳 1 .函数的奇偶性 奇偶性 定义 图象特点 偶函数 如果对于函数f(x )的定义域内任意一个x ,都有f(-x )=f(x ),那么函数f(x )就叫做偶函数 关于y 轴对称 奇函数 如果对于函数f(x )的定义域内任意一个x ,都有f(-x )=-f(x ),那么函数f(x )就叫做奇函数 关于原点对称 2 .函数的周期性 (1 )周期函数 对于函数f(x ),如果存在一个非零常数T,使得当x 取定义域内的任何值时,都有f(x +T)=f(x ),那么就称函数f(x )为周期函数,称T 为这个函数的周期. (2 )最小正周期 如果在周期函数f(x )的所有周期中存在一个最小的正数,那么这个最小正数就叫做f(x )的最小正周期. 解题提醒: ①判断函数的奇偶性,易忽视判断函数定义域是否关于原点对称.定义域关于原点对称是函数具有奇偶性的一个必要条件. ②判断函数f(x )的奇偶性时,必须对定义域内的每一个x ,均有f(-x ) 2 / 8 =-f(x )或f(-x )=f(x ),而不能说存在x 0使f(-x 0)=-f(x 0)或f(-x 0)=f(x 0). ③分段函数奇偶性判定时,误用函数在定义域某一区间上不是奇偶函数去否定函数在整个定义域上的奇偶性. 题型一 函数奇偶性的判断 典型例题:判断下列函数的奇偶性: (1)f(x )=(x +1) 1-x1+x ; (2)f(x )= -x 2+2x +1,x >0,x 2+2x -1,x <0; (3)f(x )=4-x 2x 2; (4)f(x )=lo ga(x +x 2+1)(a>0 且a≠1). 解:(1)因 为 f(x )有 意 义 , 则 满 足1- x1+ x ≥0, 所 以 - 1< x ≤1, 所 以 f(x )的 定 义 域 不关于原点对称, 所 以 f(x )为 非奇非偶函数. (2)法一:(定义法) 当 x >0 时, f(x )=- x 2+ 2x + 1, - x < 0, f(- x )=(- x )2+ 2(- x )- 1=x 2- 2x - 1=- f(x ); 当 x < 0 时, f(x )=x 2+ 2x - 1, - x >0, f(- x )=- (- x )2+ 2(- x )+ 1=- x 2- 2x + 1=- f(x ). 3 / 8 所 以 f(x )为 奇 函 数 . 法二:(图象法) 作 出 函 数 f(x )的 图 象 , 由 奇 函 数 的 图 象 关 于 原 点 对 称 的 特 征 知 函 数 f(x )为 奇 函 数 . (3)因 为  4- x 2≥0,x 2≠0,所 以 -...

1、当您付费下载文档后,您只拥有了使用权限,并不意味着购买了版权,文档只能用于自身使用,不得用于其他商业用途(如 [转卖]进行直接盈利或[编辑后售卖]进行间接盈利)。
2、本站所有内容均由合作方或网友上传,本站不对文档的完整性、权威性及其观点立场正确性做任何保证或承诺!文档内容仅供研究参考,付费前请自行鉴别。
3、如文档内容存在违规,或者侵犯商业秘密、侵犯著作权等,请点击“违规举报”。

碎片内容

函数的基本性质知识点归纳与题型总结

小辰6+ 关注
实名认证
内容提供者

出售各种资料和文档

确认删除?
VIP
微信客服
  • 扫码咨询
会员Q群
  • 会员专属群点击这里加入QQ群
客服邮箱
回到顶部