十进制转二进制:用2辗转相除至结果为1将余数和最后的1 从下向上倒序写就是结果例如302302/2=151余0151/2=75余175/2=37余137/2=18余118/2=...
◆十进制转二进制: 二进制是计算技术中广泛采用的一种数制。二进制数据是用0 和1 两个数码来表示的数。它的基数为 2 ,进位规则是“...
精品文档---下载后可任意编辑Archimedean 平铺与二进制 Hamming 图的开题报告首先,介绍一下 Archimedean 平铺(Archimedean tiling...
信息论与编码课程大作业 题 目: 二进制哈夫曼编码 学生姓名: 学 号: ********** 专业班级: 2010 级电子信息班 2 0 1 3 ...
一).一般问题 二进制文件与我们通常使用的文本文件储存方式有根本的不同。这样的不同很难用言语表达,自己亲自看一看,理解起来会容易得多...
C 语言编程开发中用好位操作符(转) 1. C 语言中的位操作符 因为C 语言的设计目的是取代汇编语言,所以它必须支持汇编语言所具有的...
C语言实现读写二进制文件
有一个员工表Employee,需要保存员工照片(Photo)到数据库(sql server)上。员工照片对应的字段是varbinary(max),也就是要存成二进制文...
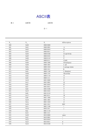
ASCII表(十进制十六进制二进制字符)
《EDA 技术》实验报告 实验名称: 8 位二进制全加器设计 一、实验设计要求 以一位二进制全加器为基本元件,用例化语句写出 8 位并...
1 4 位二进制乘法器的设计 一、概述 4 位二进制乘法器在实际中的应用相当广泛,是一些计算器的基本组成部分,其原理适用于很多计算器...
2 .3 二进制数值数据的编码与运算算法 要求掌握:定点小数和整数的原码、反码、补码表示,补码加减法运算(双符号),溢出判断。原码一...
实验七设计一个四位可逆二进制计数器一、实验目的掌握中规模集成计数器的使用方法及功能测试方法。二、实验内容及要求用 D触发器设计一个...
组合逻辑电路课程设计——4 位二进制全加器 /全减器作者:学号:课程设计题目要求:1)使用 74LS283 构成 4 位二进制全加 /全减器。2...
一.设计题目: 二进制数字调制与解调系统的设计 二.主要内容: 二进制数字调制与解调系统的设计 MATLAB及SIMULINK建模环境简介 MATL...
谷歌地图中查找的坐标(纬,经)十进制纬度,经度经度纬度十进制十进制 十进制人民英雄纪念碑39.90343355,116.3917666116.391766639.90343...
第六章 二进制、八进制、十六进制 6.1 为什么需要八进制和十六进制? 6.2 二、八、十六进制数转换到十进制数 6.2.1 二进制数转换为十...
我们以(25.625)(十)为例讲解一下进制之间的转化问题 说明:小数部份的转化计算机二级是不考的,有兴趣的人可以看一看 1. 十 ----->...
二进制转十进制、十进制转十六进制及其他各进制的转换方法文库.txt不要为旧的悲伤而浪费新的眼泪!现在干什么事都要有经验的,除了老婆。没...
二进制转十进制,十进制转二进制的算法 位(bit) 一位二进制数,又称比特 字节(by te) 1B = 8b 内存存储的最小单元 字长:同一时间...

