高新技术企业的研发费用财务核算 及应注意的问题 目 录 一、 高新技术企业研发费用财务核算的总体要求 二、 高新技术企业的研发项目...
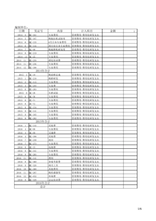
日期 凭证号内容计入科目金额RD12014/5/26记-161专家费用管理费用-费用化研发支出2014/5/27记-167购拖拉机试验用管理费用-费用化研发支出2...
1 / 9 研发费用核算管理办法 第一章 总 则 第一条 为规范研发支出统计与核算,根据国家科技局和财政部关于研发支出相关规定,制定...
一级科目二级科目三级科目四级科目五级科目 六级科目工资薪金奖金补贴*其他材料燃料和动力测试手段购置费工装及检验费仪器设备维护费仪器...
_ _ _ _ _ _ _ _ _ _ _ _ _ _ _ _ _ _ _ _ _ _ _ _ _ _ _ _ _ _ _ _ _ _研发费用核算管理制度 第一章 ...
研究开发费用归集及相关税收政策操作指南 一、企业进行研究开发活动可享受哪些税收优惠政策? 企业为开发新技术、新产品、新工艺发生...
湖北海信会计师事务有限公司 高新技术企业认定审计适用(2 0 0 8 年 9 月 8 日版) 第 1 页 共 3 0 页 湖 北 海 信 ...
研发费用归集(以2 0 1 0 年为例) (一)人员人工:从事研究开发活动人员(也称研发人员)2010年度全年工资薪金,包括基本工资、奖金...
湖北海信会计师事务有限公司 【最新整理,下载后即可编辑】 【最新整理,下载后即可编辑】 湖 北 海 信 会 计 师 事 务 有 限...
研发中心年度费用预算 一、 概述 研发中年度计划完成的项目是 1 2 个,根据项目需要和未来发展的需要,研发中心拟设软硬件研发工程师...
- 1 - 附 件 1: 石 油 建 设 工 程 其 他 费 用 和 相 关 费 用 规 定 ( 初 稿 ) 第一节 总 则 一 、...
石油建设安装工程费用定额(2015版)
石油化工工程建设费用定额2018
石材磨边费用
真正的各国留学费用一览表 记者从优越教育的老师处了解到,英美加澳是主要的留学国家,他们一直都受到来自世界各地的同学欢迎。但是各国留...
.实用文档.工程增加费用申请报告〔承包[xxx]费用 X 号〕合同名称:XXX 工程合同编号:XXX 致:XXX 工程建设监理部根据有关规定和施...
执业医师考试报名费用执业医师各地考试费用不一样样,以各地考试公告为准省 市收费原则新 疆哈密:执业医师 340 元/人,执业助理医师 ...
帕拉丁车队再次挑战达喀尔拉力赛,创下了全队完成比赛的历史性记录,帕拉丁又一次取得了令世界惊艳的胜利!一、 前期媒体预热:1、 时间...
礼仪公司/会展中心准备材料及费用清单场地(红博广场室内展厅)8000 元大彩虹门/龙门 1 个、龙门横幅标语 1 个1000 元室内视频、音响...
监理延期情况及投入费用情况说明 武汉理工大基建处: 承 蒙 贵 单 位 的 厚 爱 , 我 单 位 有 幸 成 为 理 工 大 青...

