绝缘试验 第一节 绝缘电阻和吸收比试验 测量设备的绝缘电阻,是检查其绝缘状态最简便的辅助方法在现场普遍采用兆欧表来测量绝缘电阻,由...
电气设备交接试验记录 DQ2.8 工程名称 * * * * * * * 建设单位 * * * * * * * 分项工程名称 动力、照明配电箱及控制柜...
第一章 电气试验的意义和要求 第一节 电气设备试验的作用和要求 一、高压试验的意义 高压电气设备在制造或检修的过程中,由于材质或工...
中华人民共和国国家标准 电气装置安装工程 UCD GB 50150-91 电气设备交接试验标准 中华人民共和国建设部发布 1992-07-01 施行 第...
425MW COMBINED CYCLE POWER PLANT NANDIPUR 南迪普燃机工程 电气设备交接试验方案 一、 编制依据: 1. 《电气装置安装工程电气...
电气设备交接试验报告 1 变压器交接试验报告 用户名称: XXX(二期)高低压配电 环境温度:16°C 安装位置:10kV 配电室 2#变 相对...
(完整版)电气设备专项检查表 1 电气设备专项检查表 检查岗位: 检查时间: 检查人员: 序号 检查 项目 检 查 标 准 检 查 方...
电气设备与安装工程施工方案配电箱电气配管、配线施工电力电缆电气配管、配线施工开关、插座等小电器安装、灯具路灯 (一)、配电箱施工 ...
序号123456781234567 8舜 日期检点内容配电房是否漏水、配电屏内各电缆接头温度测试配电屏内母排各连接端子温度220V输出电压 V220V输出...
电气装置安装工程 电气设备交接试验标准 Standard for hand-over test of electric equipment electric equipment installation...
电杆架设及电气设备安装工程 一、电杆坑及基础埋设 1、10KV 以下电线杆顺线路方向位移不应大于杆稍直径的1/2,横线路方向位移不超过50mm...
电气设备检修规程1范围1.1为适应检修二部管理要求,提高电气设备的完好率,确保设备安全平稳长周期运行,特制定本规程。1.2本规程适用于检...
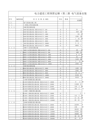
定额编号定额名称单位 定额基价其中工资YD1-110KV变压器安装 容量(kVA以下) 250台519.72217.31YD1-210KV变压器安装 容量(kVA以下) 500...
安装费(三) 电气设备安装工程1.1三相电力变压器安装1.1.110KV变压器安装YD1-110KV变压器安装 容量(kVA以下) 250台1519.72YD1-210KV变压...
安装费(三) 电气设备安装工程1.1三相电力变压器安装1.1.110KV变压器安装YD1-110KV变压器安装 容量(kVA以下) 250台1519.72YD1-210KV变压...
《 汽 车 电 气 设 备 检 修 》 课 程 标 准 一 、 课 程 性 质 与 作 用 《 汽 车 电 气 设 备 检 修 》...
授课计划 汽车电气构造与维修学科 本学期课时 6 4 每周具体上课时间 周一1 ,2 周四5 、6节 教材名称 汽车电气构造与维修 教学...
韶关市技师学院 《汽车电器》实训指导书 龚灯荣 0 汽车电器实训 实训一 交流发电机的拆检 ..........................................
韶关市技师学院 《汽车电器》实训指导书 龚灯荣 0 汽车电器实训指导项目 实训一 交流发电机的拆检 ..................................
汽车电气设备构造与维修 实训指导与任务书 项目一:点火系统实训项目 一、任务目标 知识目标 1.熟悉点火系结构与工作原理; 2.了解点...

