电脑桌面
添加小米粒文库到电脑桌面
安装后可以在桌面快捷访问

电力建设工程预算定额(第三册电气设备安装工程(2006年版))

电力建设工程预算定额(第三册电气设备安装工程(2006年版))_第1页
1/74
电力建设工程预算定额(第三册电气设备安装工程(2006年版))_第2页
2/74
电力建设工程预算定额(第三册电气设备安装工程(2006年版))_第3页
3/74
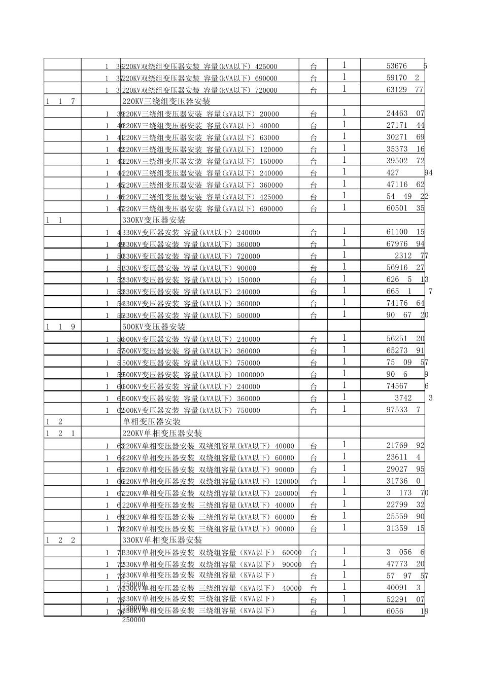
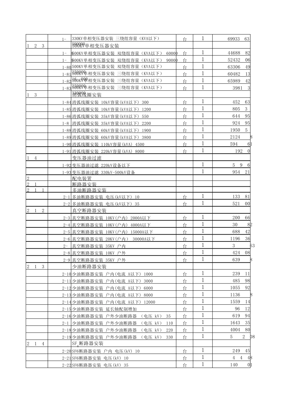
安装费(三) 电气设备安装工程1.1三相电力变压器安装1.1.110KV变压器安装YD1-110KV变压器安装 容量(kVA以下) 250台1519.72YD1-210KV变压器安装 容量(kVA以下) 500台1638.30YD1-310KV变压器安装 容量(kVA以下) 1000台1964.10YD1-410KV变压器安装 容量(kVA以下) 2000台11263.28YD1-510KV变压器安装 容量(kVA以下) 4000台11916.53YD1-610KV变压器安装 容量(kVA以下) 8000台13863.49YD1-710KV变压器安装 容量(kVA以下) 20000台15709.97YD1-810KV变压器安装 容量(kVA以下) 40000台16663.191.1.210KV干式变压器安装YD1-910KV干式变压器安装 容量(kVA以下) 250台1307.30YD1-1010KV干式变压器安装 容量(kVA以下) 500台1408.22YD1-1110KV干式变压器安装 容量(kVA以下) 1000台1674.44YD1-1210KV干式变压器安装 容量(kVA以下) 2000台1859.22YD1-1310KV干式变压器安装 容量(kVA以下) 4000台11435.00YD1-1410KV干式变压器安装 容量(kVA以下) 8000台11990.08YD1-1510KV干式变压器安装 容量(kVA以下) 10000台12504.121.1.335KV变压器安装YD1-1635KV变压器安装 容量(kVA以下) 2000台11485.35YD1-1735KV变压器安装 容量(kVA以下) 4000台12362.32YD1-1835KV变压器安装 容量(kVA以下) 8000台14572.92YD1-1935KV变压器安装 容量(kVA以下) 16000台16136.89YD1-2035KV变压器安装 容量(kVA以下) 40000台18418.951.1.4110KV双绕组变压器安装YD1-21110KV双绕组变压器安装 容量(kVA以下) 10000台18772.50YD1-22110KV双绕组变压器安装 容量(kVA以下) 25000台111848.89YD1-23110KV双绕组变压器安装 容量(kVA以下) 63000台115574.53YD1-24110KV双绕组变压器安装 容量(kVA以下) 120000台120472.761.1.5110KV三绕组变压器安装YD1-25110KV三绕组变压器安装 容量(kVA以下) 10000台19772.92YD1-26110KV三绕组变压器安装 容量(kVA以下) 25000台112195.23YD1-27110KV三绕组变压器安装 容量(kVA以下) 63000台115901.38YD1-28110KV三绕组变压器安装 容量(kVA以下) 120000台120732.731.1.6220KV双绕组变压器安装YD1-29220KV双绕组变压器安装 容量(kVA以下) 20000台122256.72YD1-30220KV双绕组变压器安装 容量(kVA以下) 40000台124699.43YD1-31220KV双绕组变压器安装 容量(kVA以下) 63000台126322.33YD1-32220KV双绕组变压器安装 容量(kVA以下) 120000台133362.82YD1-33220KV双绕组变压器安装 容量(kVA以下) 180000台136...

1、当您付费下载文档后,您只拥有了使用权限,并不意味着购买了版权,文档只能用于自身使用,不得用于其他商业用途(如 [转卖]进行直接盈利或[编辑后售卖]进行间接盈利)。
2、本站所有内容均由合作方或网友上传,本站不对文档的完整性、权威性及其观点立场正确性做任何保证或承诺!文档内容仅供研究参考,付费前请自行鉴别。
3、如文档内容存在违规,或者侵犯商业秘密、侵犯著作权等,请点击“违规举报”。

碎片内容

电力建设工程预算定额(第三册电气设备安装工程(2006年版))

您可能关注的文档

小辰9+ 关注
实名认证
内容提供者

出售各种资料和文档

确认删除?
VIP
微信客服
  • 扫码咨询
会员Q群
  • 会员专属群点击这里加入QQ群
客服邮箱
回到顶部