实验报告 课 程 名 称 : 电 路 与 模 拟 电 子 技 术 实 验 指 导 老 师 : 张 冶 沁 成 绩 : _ _ _ _ ...
实验报告 课程名称:模拟电子技术基础实验 指导老师:张伟 成绩:__________________ 实验名称:三极管共射极放大电路 实验类型:直接...
第一节 基本三极管开关基本电路设计 三极管除了可以当做交流信号放大器之外,也可以做为开关之用。严格说起来,三极管与一般的机械接点式...
实验报告 课程名称:电路与电子技术Ⅱ 指导老师:楼丽珍 成绩:__________________ 实验名称:三极管的伏安特性测量 实验类型:验证性...
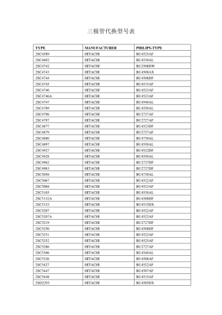
三极管代换型号表 TYPE MANUFACTURER PHILIPS-TYPE 2SC4589 HITACHI BU4525AF 2SC4692 HITACHI BU4530AL 2SC4742 HITACHI BU25...
三极管代换参数15 2010-03-04 05:01 常用三极管参数互换大全-5 本篇收集整理了一些常用的二极管、三极管、场效应管, 以及部分电源IC...
三极管测试题 班级 姓名 成绩 一、填空题: 1.晶体管工作在饱和区时发射结 偏;集电结 偏。 2.三极管按结构分为_ 和 两种类型...
三极管中文资料大全 加入时间:2007-4-13 10:34:13 | 被阅次数:2690 | 来源:威尔达科技网 品 名 极性 管脚 功 能 参 数 MP...
贴片三极管上的印字,与真实名称的对照表2印字器件 厂商 类型 封装 器件用途及参数AMRF947MotNSOT323npnRF8GHzABA892SieISCD8035V100mA...
丝印封装型号t02SOT23 PDTC143ETNnpn4k7+4k7biasrest04SOT23PMBS3904N2N3904t06SOT23PMBS3906N2N3906inT1IMT1ADA2x2SA1037AKpnpT1SOT23BCX...
丝印封装型号t02SOT23 PDTC143ETNnpn4k7+4k7biasrest04SOT23PMBS3904N2N3904t06SOT23PMBS3906N2N3906inT1IMT1ADA2x2SA1037AKpnpT1SOT23BCX...
三极管三种电路的特点 1 .共发射极电路特点 共射极电路又称反相放大电路,其特点为电压增益大,输出电压与输入电压反相,低频性能差,...
低频功率放大电路 一、填空题 1、以功率三极管为核心构成的放大器称 功率 放大器。它不但输出一定的 电压 还能 输出一定的 电流 ...
因 为VCE0 是 基 极 开 路 时 加 在 集 电 极 和 发 射 极 之 间 的 电 压 , 集 电 结 是 反 向 电 压 ,...
习题 3 客观检测题 一、填空题 2. 三极管的发射区 杂质 浓度很高,而基区很薄。 5. 处于放大状态的晶体管,集电极电流是 少数载...
三极管MMBT3906中文规格参数资料
三极管9012 引脚图 9012 管脚图 9012 是一种最常用的普通三极管。 它是一种低电压,大电流,小信号的PNP 型硅三极管 • 集电极电流I...
三极管 9012.9013 9013 参数 最大耗散功率(PCM):0.625W 最大集电极电流(ICM):0.5A 集电极-发射极击穿电压(VCEO):25V 集电极-基极...
万用表功能使用使用方法: 红表笔插"+"端,黑表笔插"-COM "端。 (1) 交流电压测量:开关旋至 AC V 档,选择合适档位。 (2) 电阻...
三极管 首先将万用表打到测试二极管端,用万用表的红表笔接触三极管的其中一个管脚,而用万用表另外的那支表笔去测试其余的管脚,直到测试...

