急危重症病人诊疗流程管理法律规范建立“以病人为中心,以医疗质量,医疗安全为第一”的急危重症病人诊疗流程管理法律规范,对于法律规范医...
一、填空(每空 1 分,共 25 分)1、急危重症护理学是以挽救()、提高()、促进()、减少()、提高()为目的,以现代医学科学、护理...
急危重症患者的护理常规和抢救流程急危重症患者护理常规1、接诊急诊抢救患者迅速进入急诊抢救室。2、立即评估患者病情,迅速给予心肺复苏基...
急危重症病人诊疗流程管理法律规范建立“以病人为中心,以医疗质量,医疗安全为第一”的急危重症病人诊疗流程管理法律规范,对于法律规范医...
《急危重症护理学》期末试题(一)一、单项选择题(本大题共 20 小题,每小题 1。5 分,共 30 分)在每小题列出的五个备选项中只有一...
急危重症患者处理流程1。门、急诊值班医师出诊,遇到急危重症患者,急诊 5min 内到位,在给予必要初步治疗同时,通知门、急诊主任,或病区...
目录常见急危重症病人抢救流程图 2急救通则(First Aid)3第一篇常见急危重症急救诊疗常规一、休克抢救流程图 4二、过敏性反应流程图 5三...
乌拉特中旗人民医院急危重症患者优先处置制度为切实做好急诊患者的抢救及后续治疗工作,提供快速、有序、有效和安全的诊疗服务,尽大可能保...
成都大学教案 学院(部): 医护学院 系(教研室): 外科教研室 授课老师: 李夏卉 职 称: 助教 课程名称急危重症护理学总学分:...
急性呼吸衰竭抢救程序A:急性呼吸衰竭 B:慢性呼吸衰竭急性加重↓↓建立通畅的气道 A:迅速气管内插管 清除气道分泌物 气道湿化A&B:支...
急危重症抢救制度一、诊所接到病情危重的患者时,第一时间拨打 120,同时,全力以赴实行一切可以实行的措施,尽力挽救病人的生命。二、诊所...
危重患者抢救制度试题时间:五月 3 姓名:1 目的 规定危重患者的、程序,保证危重患者去抢救工作有效有序的运行,提高抢救成功率 。2 ...
急危重症抢救绿色通道的制度为了使急诊抢救病人及时治疗,以挽救病人的生命为目的,特建立急危重症手术抢救绿色通道,并作如下规定:1、急危重...
危/急重症患者入院流程重点交接通知电梯准备运送患者通知病区,填写急诊患者转科护理交接记录单通知患者或家属与护送人员详细交接班,完善...
急危重症患者抢救制度急危重症患者抢救制度指为控制病情、挽救生命,急危重患者进行抢救并对抢救流程进行法律规范的制度。急危重患者的范围...
急危重症孕产妇抢救制度为了进一步提高急危重症孕产妇的抢救质量,保障母婴安全,达到降低孕产妇、围产儿死亡的目的,依据《中华人民共和国...
急危重症孕产妇转运流程新入院及住院孕产妇病情评估危重(本院无条件救治)一般(本院能处置)危重(不宜转院)科主任批准,家属同意,决定...
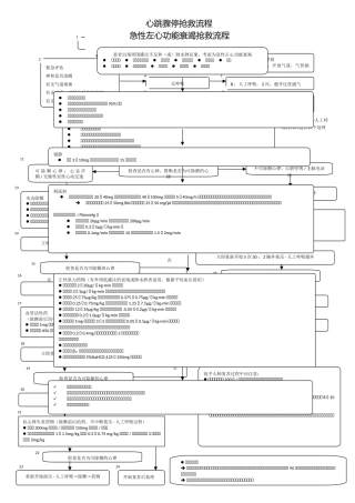
2322否是是28272624141718立即重新开始 5 次 30 : 2 胸外按压 - 人工呼吸循环2021在继续进行按压-人工呼吸的同时进行以下处理心跳...
应用 PDCA 提高重症医学科用药安全管理质量重症医学科药物的作用是预防、诊断和治疗疾病。临床用药中,必须严格执行查对制度,准确、安全...
重症医学科病人收治、转出标准【心脏疾病】收治标准:1、SBPV90mmHg2、尿量 V30m以3、需要应用升血压药4、需要血液动力学监测转出标准:1...

