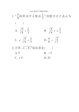
6.1.1算术平方根作业设计5.课本47页习题6.1第1题求下列各数的算术平方根:(1)81(2)(3)0.04(4)6.1.1算术平方根作业设计参考答案1.A2...
人教版七年级下册《平方根(第1课时)》说课稿一、说教材《算术平方根》是人教2012版七年级数学第六章实数的第一节内容。本节课学习第一个...
6.1算术平方根教学目标:知识与技能1、了解算术平方根的概念,会用根号表示正数的算术平方根,并能理解算术平方根的非负性。2、会借助平方...
1.若x是64的算术平方根,则x=()A.8B.-8C.64D.-642.(2013·南充)0.49的算术平方根的相反数是()A.0.7B.-0.7C.±0.7D.03.(-2)2的算术平方根是(...
第六章实数6.1平方根第1课时算术平方根【知识与技能】1.了解算术平方根的概念,会用根号表示正数的算术平方根,并了解算术平方根的非负性.2....
6.1.1算术平方根大理市上关镇一中姚建房6.1.1算术平方根学习目标:(1)了解算术平方根的概念。(2)会求一些数的算术平方根,并用算术平方...
算术平方根教学目标【知识与技能】理解并掌握算术平方根的定义,会求一个数的算术一平方根.【过程与方法】掌握求一个数的算术平方根的方法....
第6.1.2节用计算器求算术平方根学习目标1、了解无限不循环小数的概念及会判断一个数是否是无限不循环小数。2、会用计算器求一个非负数的算...
10以内加减法练习题(一)姓名:_______时间:_____做对了_____题(共50题)5+4=3+6=4+2=9+0=2+7=1+7=6+4=7+3=2+3=0+10=10-2=9-3=8-7=9-5=6...
数学——源于生活高于生活回归生活。请写出下列各数的平方:120.20-1-2-0.2有平方等于0的数吗?有平方等于负数的数吗?3131已知一个正方...
单击页面即可演示第一页,共二十三页。1、非负数a的算术平方根记为_____aa的算术平方根被开方数a≥0a≥02)a(=a|a|a2、2a3、=a0-a(a>0)(a...
算术平方根作业问题反思41.注意正确利用概念表达平方根:改错:求4的平方根;解:4==22.注意利用平方根的概念列方程或不等式求解未知数:...
下载后可任意编辑算术平方根说课稿算术平方根说课稿(1)一、教材分析1、说教材《算术平方根》是九年制义务教育人教版七年级下册第十章《实...
100第六章第二节算术平均数与几何平均数题组一利用均值不等式求最值1.设x、y均为正实数,且+=1,则xy的最小值为()A.4B.4C.9D.16解析...
例1已知,求证证明: ,,,三式相加,得,即说明:这是一个重要的不等式,要熟练掌握.例2已知是互不相等的正数,求证:证明: ,∴同理...
算术平均数与几何平均数典型题目训练宝典题型一:22,,2abababab(,,abR当且仅当a=b时不等式取等号)的应用。1、在...
算术平均数几何平均数第2课时第六章不等式知识要点均数叫做这个正数的几何平aaa,平均数n叫做这个正数的算术naaa则1,n且,Ra,a,a若nn21n21n21...
算术平方根教学目标:1.理解算术平方根的概念.表示法.0,(a)的性质。2.会求一个非负数的算术平方根.重点:算术平方根的概念.难点:求算术平...
第六章实数12/14/24§6.1平方根(第1课时)——算术平方根12/14/24正方形正方形的面积的面积9916161136正方形正方形的边长的边长前面的问题...
回答下列各题;1:什么叫数a的平方根?什么叫数a的算术平方根2:如果一个数有平方根,那么这个数是什么数?3:正数的平方根有什么特点?0的...

