《分数混合运算》教学设计教学目标:1、通过观察、分析、使学生掌握分数四则混合运算的运算顺序,能应用计算法则较熟练地进行计算。2、通过...
白银区第三小学六年级数学教学设计主备张建英复备审核教学时间第周星期课题名称分数混合运算(一)教学内容北师大版小学数学六年级上册第21...
实用标准文案精彩文档分式的运算一、典型例题例1、下列分式abc1215,abba2)(3,)(222baba,baba22中最简分式的个数是().A.1B.2C.3D.4例2.计...
试题习题、尽在百度仔细审题、认真作答四则混合运算练习题1、填一填.(1)68-25+49的运算顺序是先算()法,再算()法.(2)400÷20×36的...
1四则运算一、请你来当小裁判。1、运算顺序一样的画√,不一样的画○。①3×6÷2②(34+16)÷(18-8)③240÷20-53+6÷2(34+16)×...
百度文库:精选试题仔细审题、认真作答四则混合运算练习题1、填一填.(1)68-25+49的运算顺序是先算()法,再算()法.(2)400÷20×36的...
一、水泥混合材料二、混合材料的类别三、普通硅酸盐水泥四、矿渣硅酸盐水泥、火山灰硅酸盐水泥、粉煤灰硅酸盐水泥、复合硅酸盐水泥在生产水...
候文萍等:混合材对水泥浆体流变性能的影响对水泥浆体流变性能的影响口侯文萍张华杰付兴华方寅生山东建材学院250022仁摘要1该文通过试验指出...
实用标准文案精彩文档6×5-12=7×5-12=1×8+8×3=18+2×9=7×5+14=68-7×5=9×5-6*7=8+7*7=7×5-13=7×8-12=3×4-8=2×4-3=6×9-17=3×1+6...
沈阳市方远热力能源设备制造厂电话:02462635853http://syfyrl.com1联系人手机:13909886040汽水混合加热器安装和应用一、前言汽水混合式加...
第7卷第6期2005年12月建筑钢结构进展ProgressinSteelBuildingStructuresVol.7No.6Dec.2005收稿日期:2004-09-22作者简介:李国强(1963-),男,...
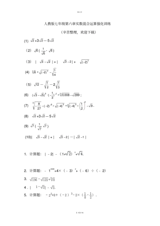
精品文档。1欢迎下载人教版七年级第六章实数混合运算强化训练(辛苦整理,欢迎下载)(1)2+32—52(2)6(61-6)(3)|23|+|23|+2)2((4)41)2(8...
人教版七年级上册第6讲有理数的加减混合讲义(无答案)1/5第6讲有理数的加减混合姓名学校日期【知识要点】1.有理数的加法法则:(1)同号...
第33卷第1期2011年1月南�京�工�业�大�学�学�报�(自然科学版)JOURNALOFNANJINGUNIVERSITYOFTECHNOLOGY(NaturalScienceEdition)Vo.l3...
重型商用混合动力车自动变速技术综述时间:2011-02-1712:17来源:新能源汽车聚焦网作者:董翔宇等点击:157次分析了在混合动力汽车中运用自动变...
DLQSHDLQSHDLQSHDLQSH系列汽水混合加热器说明书系列汽水混合加热器说明书系列汽水混合加热器说明书系列汽水混合加热器说明书长沙多灵环保科...
2007年(第29卷)第7期汽车工程AutomotiveEngineering2007(Vol.29)No.72007137混合动力汽车整车控制器硬件电路与CAN总线通信的设计开发原稿收...
汽水混合加热器发明专利无声QSH型汽水混合加热器——长沙水泽加热设备制造有限公司www.jrqzl.com摘要:长沙水泽本文,重点介绍了汽水混合加...
实用标准文案精彩文档5.6×2.93.77×1.80.02×965.22×0.39.99×0.024.67×0.95×2.441.666×6.19.432×0.0025.6×6.54.88×2.95.61×4.38....
收稿日期:2010-02-20基金项目:国家863计划节能与新能源汽车重大专项资助项目(2006AA11A128)混合动力整车控制器(HCU)的标定是混合动力...

