电脑桌面
添加小米粒文库到电脑桌面
安装后可以在桌面快捷访问

2009年广东省中小学图书馆(室)推荐书目VIP免费

2009年广东省中小学图书馆(室)推荐书目_第1页
1/49
2009年广东省中小学图书馆(室)推荐书目_第2页
2/49
2009年广东省中小学图书馆(室)推荐书目_第3页
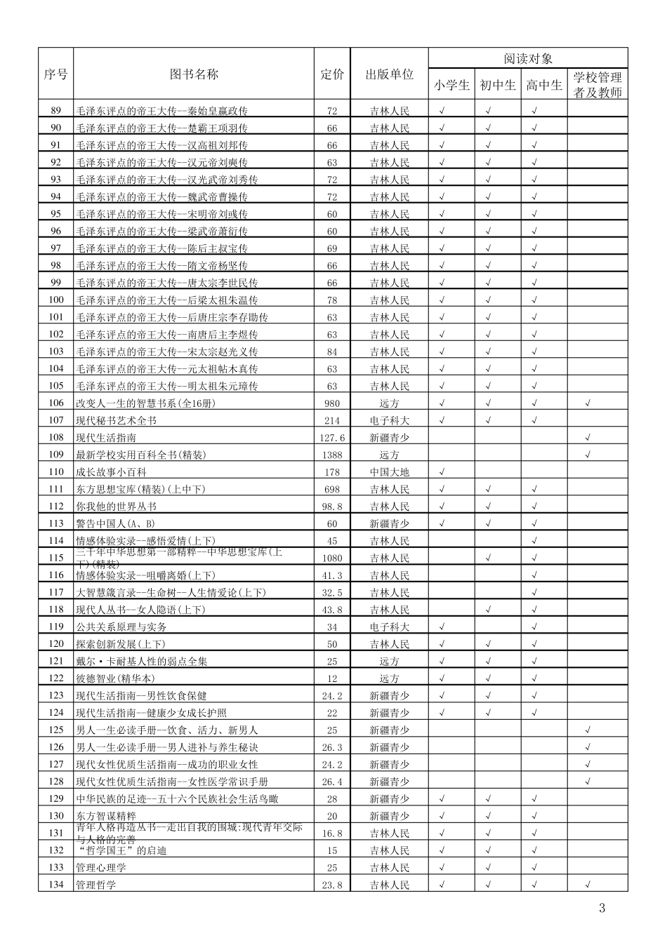
3/49
小学生初中生高中生学校管理者及教师1书梦的灯:感动中学生的100个故事(精华版) 23.8九州出版√ √2轻风的月夜—感动中学生的100个传奇故事20.8九州出版√ √3给青春写一封情书—感动中学生的100个青春故事22.8九州出版√√4快乐总被雨洗过—感动中学生的心情故事22.621世纪√√ 5天使带给人间的快乐—感动中学生的趣味故事20.821世纪√√6手掌上的阳光(体验亲情)16.9花山文艺√√7益友增添生命光彩(体验友情)16.5花山文艺√√8让中学生学会感恩友情的100个故事19.8花山文艺√√9全球100位名人与中学生谈梦想20花山文艺√√1 0全球100位名人与中学生谈读书24花山文艺√√1 1人为什么活着:全球139位大师的答案38九州出版√√ 1 2读懂人生全集39花山文艺√√1 3和天使一起成长—感动小学生的100个母亲24九州出版 √1 4剪不断的师生情—感动小学生的100个老师22.8九州出版 √1 5培养小学生好品德的100个故事19.8九州出版 √1 6没有大人的夜晚—感动小学生的100个故事14.2九州出版 √1 7在宇宙中书写:感动小学生的100篇科幻(精华版)19.9九州出版 √1 8让小学生保持阳光心态的100个故事19.8九州出版 √1 9把爱传下去—感动小学生的100个长辈22.6九州出版 √2 0小学生一定要知道的200个神话故事19.2九州出版 √2 1感动小学生微型小说全集—没有上锁的门39九州出版 √2 2洒在身上的阳光—感动中学生的哲理故事2021世纪√√2 3用自己的双眼看世界—感动中学生的智慧故事21.821世纪√√2 4全球100位名人与中学生谈做人20花山文艺√√2 5全球100位名人与中学生谈成功24花山文艺√√2 6全球100位名人与中学生谈交友22花山文艺√√2 7全球100位名人与中学生谈诚信20花山文艺√√2 8全球100位名人与中学生谈自由23花山文艺√√2 9全球100位名人与中学生谈名利23花山文艺√√3 0青少年受益一生的名人读书经验22.8九州出版√√3 1青少年受益一生的名人金钱哲学22.8九州出版√√3 2青少年受益一生的名人心态感悟22.8九州出版√√3 3青少年受益一生的名人处世学问22.8九州出版√√3 4青少年受益一生的名人成功心得23九州出版√√3 5青少年受益一生的名人做人智慧22九州出版√√3 6青少年受益一生的名人沟通艺术23九州出版√√3 7青少年受益一生的名人交友之道22九州出版√√3 8感恩父母—情深似海的65个父爱母爱故事23花山文艺√√3 9感恩老师—无法忘怀的90个恩师故事20花山文艺√√4 0感恩朋友—知音难忘的85...

1、当您付费下载文档后,您只拥有了使用权限,并不意味着购买了版权,文档只能用于自身使用,不得用于其他商业用途(如 [转卖]进行直接盈利或[编辑后售卖]进行间接盈利)。
2、本站所有内容均由合作方或网友上传,本站不对文档的完整性、权威性及其观点立场正确性做任何保证或承诺!文档内容仅供研究参考,付费前请自行鉴别。
3、如文档内容存在违规,或者侵犯商业秘密、侵犯著作权等,请点击“违规举报”。

碎片内容

2009年广东省中小学图书馆(室)推荐书目

小辰2+ 关注
实名认证
内容提供者

出售各种资料和文档

确认删除?
VIP
微信客服
  • 扫码咨询
会员Q群
  • 会员专属群点击这里加入QQ群
客服邮箱
回到顶部