电脑桌面
添加小米粒文库到电脑桌面
安装后可以在桌面快捷访问

2009年重庆市第一批市级继续医学教育项目表VIP免费

2009年重庆市第一批市级继续医学教育项目表_第1页
1/12
2009年重庆市第一批市级继续医学教育项目表_第2页
2/12
2009年重庆市第一批市级继续医学教育项目表_第3页
3/12
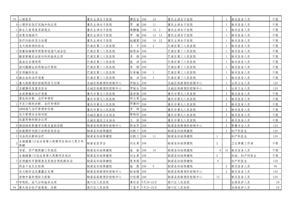
编号项 目 名 称主办单位项 目负责人 举办日期地 点学时 学分 教学对象人数1 病原微生物实验室人员生物安全培训班万州区卫生局刘爱知 2008.5.15-16重庆市三峡中心医院百安分院93 分管领导、实验室专业技术人员不限2 消化系统解剖涪陵中心医院刘爱民 2008.6.13涪陵中心医院31 相关医务人员1503 呼吸系统解剖涪陵中心医院廖秀清 2008.4.18涪陵中心医院31 相关医务人员1504 淋巴系统解剖涪陵中心医院徐金明 2008.4.11涪陵中心医院31 相关医务人员1505 纵隔系统解剖涪陵中心医院陶永忠 2008.4.25涪陵中心医院31 相关医务人员1506 水电解质紊乱和酸碱平衡涪陵中心医院李栋梁 2008.6.27涪陵中心医院31 相关医务人员1507 儿童矮小症专题讲座涪陵中心医院魏 平 2008.5.15涪陵中心医院31 相关专业医师不限8 外科护理研讨会涪陵中心医院曹启鸾 2008涪陵中心医院124 相关医务人员不限9 心血管系统解剖涪陵中心医院向立权2008.4.4 涪陵中心医院31 相关医务人员15010急性心肌梗塞的诊断和治疗涪陵中心医院向立权2008.6.20涪陵中心医院31 相关医务人员15011渝东南地区妇科微创学术会涪陵中心医院吴庆蓉2008.11涪陵中心医院82 妇科医师8012儿科新进展研讨班涪陵中心医院许 峰2008.3.15-16涪陵中心医院124 基层儿科医生15013腹部X片阅读涪陵中心医院徐 伟2008.6涪陵中心医院31 相关医务人员15014时间 分辨 仪 检 测 乙 肝 标 志 物在 临 床 上 的应 用涪陵中心医院涂 伟2008.3.6 涪陵中心医院41 相关医务人员不限15SPSS和Office联 合 分析 卫生技术资 料 技巧涪陵区疾 病预 防 控 制 中心程 荣 联2008.11涪陵区疾 病预 防 控 制 中心31 相关医务人员10016性激 素 补 充 治疗与 妇科恶 性肿 瘤 的关系及 进展涪陵区妇幼 保 健 院童少 敏2008.1涪陵区妇幼 保 健 院31 妇女 保 健 科医师10017儿童保 健 的现 状 及 展望涪陵区妇幼 保 健 院韦 济 琼2008.8涪陵区妇幼 保 健 院31 儿童保 健 科医师10018妊 娠 期高 血压 疾 病的治疗进展涪陵区妇幼 保 健 院夏 明伟2008.8涪陵区妇幼 保 健 院31 妇产 科医师10019阴 式 子 宫 切 除 术的进展涪陵区妇幼 保 健 院肖 雪 娟2008.5涪陵区妇幼 保 健 院31 妇产 科医师10020预 防 艾 滋 病母 婴 传 播 干 预 措 施 的进展涪陵区妇幼 保 健 院张 蓉2008.9涪陵...

1、当您付费下载文档后,您只拥有了使用权限,并不意味着购买了版权,文档只能用于自身使用,不得用于其他商业用途(如 [转卖]进行直接盈利或[编辑后售卖]进行间接盈利)。
2、本站所有内容均由合作方或网友上传,本站不对文档的完整性、权威性及其观点立场正确性做任何保证或承诺!文档内容仅供研究参考,付费前请自行鉴别。
3、如文档内容存在违规,或者侵犯商业秘密、侵犯著作权等,请点击“违规举报”。

碎片内容

2009年重庆市第一批市级继续医学教育项目表

您可能关注的文档

确认删除?
VIP
微信客服
  • 扫码咨询
会员Q群
  • 会员专属群点击这里加入QQ群
客服邮箱
回到顶部