电脑桌面
添加小米粒文库到电脑桌面
安装后可以在桌面快捷访问

vb程序设计教程参考答案VIP免费

vb程序设计教程参考答案_第1页
1/42
vb程序设计教程参考答案_第2页
2/42
vb程序设计教程参考答案_第3页
3/42
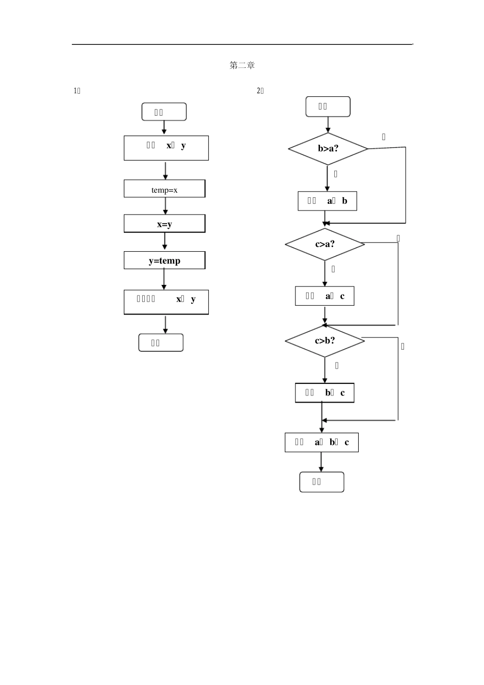
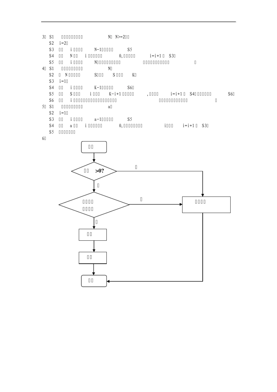
第一章 1、 B 2、 A 3、 B 4、 答:属性:红色、充满氢气;事件:松手、针刺;方法:飞走、爆破。 5、 答:事件是指对象能够识别并作出反映的外部刺激。事件驱动又称消息驱动,事件驱动程序设计是指每个事件对应有相应的程序代码,仅在该事件发生时,该段代码才会被执行。事件发生的顺序决定了代码执行的顺序,因此每次执行应用程序时,程序代码并不是按照程序编写的顺序来执行的。 6、 答:VB是一个包括界面设计、程序编码、调试、编译并创建可执行程序的集成开发环境。VB的集成开发环境的主界面中包含:标题栏、菜单栏、工具栏、控件箱、工程资源管理器、属性窗口、“窗体布局”窗口、窗体设计器、代码编辑器等元素组成。 7、 答: VB菜单条通常情况下有:文件、编辑、视图、工程、格式、调试、运行、查询、图表、工具、外接程序、窗口、帮助等 13项菜单项组成。 8、 答:工具栏可自行定义。标准工具栏中通常情况下有:添加标准 exe工程、添加窗体、菜单编辑器、打开工程、保存工程、剪切、复制、粘贴、查找、撤消、重复、启动、中断、结束、工程资源管理器、属性窗口、窗体布局窗口、对象浏览器、工具箱、数据视图窗口、可视化元件管理器等按钮组成。 9、 答:创建VB应用程序的一般步骤为:创建界面;设置窗体和控件属性;编写代码;保存工程;运行并调试程序;检查并排除错误;创建可执行文件。 10、 Private Sub Command1_Click() Label1.Caption = "I love vb,I hate vb" End Sub 第二章 1、 2、 开始 temp=x x =y 输入x 、 y 结束 输出新的x 、 y y =temp 开始 b>a? 是 否 交换a、 b 否 c>a? 是 交换a、 c c>b? 交换b、 c 是 否 结束 输出a、 b、 c 3、 S1 输入待判断自然数: N( N>=2); S2 i=2; S3 判断i 是否小于N-1,若不是转S5 S4 判断N 除以i 的余数是否为0,如果不是则i=i+1 转 S3; S5 判断i 是否等于N,若是输出“是素数”,否则输出“不是素数”。 4、 S1 输入待判断自然数: N; S2 将 N 转换成字符S,计算S 的长度K; S3 i=1; S4 判断i 是否小于K-1,若不是转S6; S5 判断S 中的第i 位和第K-i+1 位是否相等,如果是则i=i+1 转 S4,如果不是则转S6; S6 判断i 是否是中间位数,若是输出“是回文数”,否则输出“不是回文数”。 5、 S1 输入待判断自然数: a; S2 i=1; S3 判断i 是否小于a-1,若...

1、当您付费下载文档后,您只拥有了使用权限,并不意味着购买了版权,文档只能用于自身使用,不得用于其他商业用途(如 [转卖]进行直接盈利或[编辑后售卖]进行间接盈利)。
2、本站所有内容均由合作方或网友上传,本站不对文档的完整性、权威性及其观点立场正确性做任何保证或承诺!文档内容仅供研究参考,付费前请自行鉴别。
3、如文档内容存在违规,或者侵犯商业秘密、侵犯著作权等,请点击“违规举报”。

碎片内容

vb程序设计教程参考答案

您可能关注的文档

确认删除?
VIP
微信客服
  • 扫码咨询
会员Q群
  • 会员专属群点击这里加入QQ群
客服邮箱
回到顶部