电脑桌面
添加小米粒文库到电脑桌面
安装后可以在桌面快捷访问

常用管材(钢管)规格表汇总VIP免费

常用管材(钢管)规格表汇总_第1页
1/14
常用管材(钢管)规格表汇总_第2页
2/14
常用管材(钢管)规格表汇总_第3页
3/14
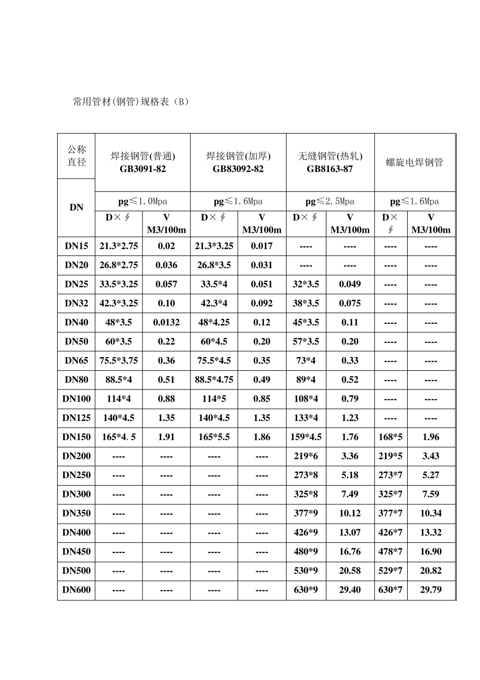
常用管材(钢管)规格表(A) 公称直径 焊接钢管(普通) GB3091-82 焊接钢管(加厚) GB83092-82 无缝钢管(热轧) GB8163-87 螺旋电焊钢管 DN pg≤1.0Mpa pg≤1.6Mpa pg≤2.5Mpa pg≤1.6Mpa D×∮ 重量(Kg/m) D×∮ 重量(Kg/m) D×∮ 重量(Kg/m) D×∮ 重量(Kg/m) DN15 21.3*2.75 1.25 21.3*3.25 1.44 ---- ---- ---- ---- DN20 26.8*2.75 1.63 26.8*3.5 2.01 ---- ---- ---- ---- DN25 33.5*3.25 2.42 33.5*4 2.91 32*3.5 2.46 ---- ---- DN32 42.3*3.25 3.13 42.3*4 3.77 38*3.5 2.98 ---- ---- DN40 48*3.5 3.84 48*4.25 4.58 45*3.5 3.58 ---- ---- DN50 60*3.5 4.88 60*4.5 6.16 57*3.5 4.62 ---- ---- DN65 75.5*3.75 6.64 75.5*4.5 7.88 73*4 6.81 ---- ---- DN80 88.5*4 8.34 88.5*4.75 9.81 89*4 8.38 ---- ---- DN100 114*4 10.85 114*5 13.44 108*4 10.26 ---- ---- DN125 140*4.5 15.04 140*4.5 18.24 133*4 12.72 ---- ---- DN150 165*4.5 17.81 165*5.5 21.63 159*4.5 17.14 168*5 20.10 DN200 ---- ---- ---- ---- 219*6 31.52 219*5 31.52 DN250 ---- ---- ---- ---- 273*8 52.28 273*7 45.92 DN300 ---- ---- ---- ---- 325*8 62.54 325*7 54.90 DN350 ---- ---- ---- ---- 377*9 81.67 377*7 63.87 DN400 ---- ---- ---- ---- 426*9 92.55 426*7 72.33 DN450 ---- ---- ---- ---- 480*9 104.53 478*7 81.31 DN500 ---- ---- ---- ---- 530*9 115.62 529*7 90.11 DN600 ---- ---- ---- ---- 630*9 137.82 630*7 107.50 常用管材(钢管)规格表(B) 公称直径 焊接钢管(普通) GB3091-82 焊接钢管(加厚) GB83092-82 无缝钢管(热轧) GB8163-87 螺旋电焊钢管 DN pg≤1.0Mpa pg≤1.6Mpa pg≤2.5Mpa pg≤1.6Mpa D×∮ V M3/100m D×∮ V M3/100m D×∮ V M3/100m D×∮ V M3/100m DN15 21.3*2.75 0.02 21.3*3.25 0.017 ---- ---- ---- ---- DN20 26.8*2.75 0.036 26.8*3.5 0.031 ---- ---- ---- ---- DN25 33.5*3.25 0.057 33.5*4 0.051 32*3.5 0.049 ---- ---- DN32 42.3*3.25 0.10 42.3*4 0.092 38*3.5 0.075 ---- ---...

1、当您付费下载文档后,您只拥有了使用权限,并不意味着购买了版权,文档只能用于自身使用,不得用于其他商业用途(如 [转卖]进行直接盈利或[编辑后售卖]进行间接盈利)。
2、本站所有内容均由合作方或网友上传,本站不对文档的完整性、权威性及其观点立场正确性做任何保证或承诺!文档内容仅供研究参考,付费前请自行鉴别。
3、如文档内容存在违规,或者侵犯商业秘密、侵犯著作权等,请点击“违规举报”。

碎片内容

常用管材(钢管)规格表汇总

您可能关注的文档

确认删除?
VIP
微信客服
  • 扫码咨询
会员Q群
  • 会员专属群点击这里加入QQ群
客服邮箱
回到顶部