电脑桌面
添加小米粒文库到电脑桌面
安装后可以在桌面快捷访问

数学分析期末模拟考试题(证明部分新)VIP免费

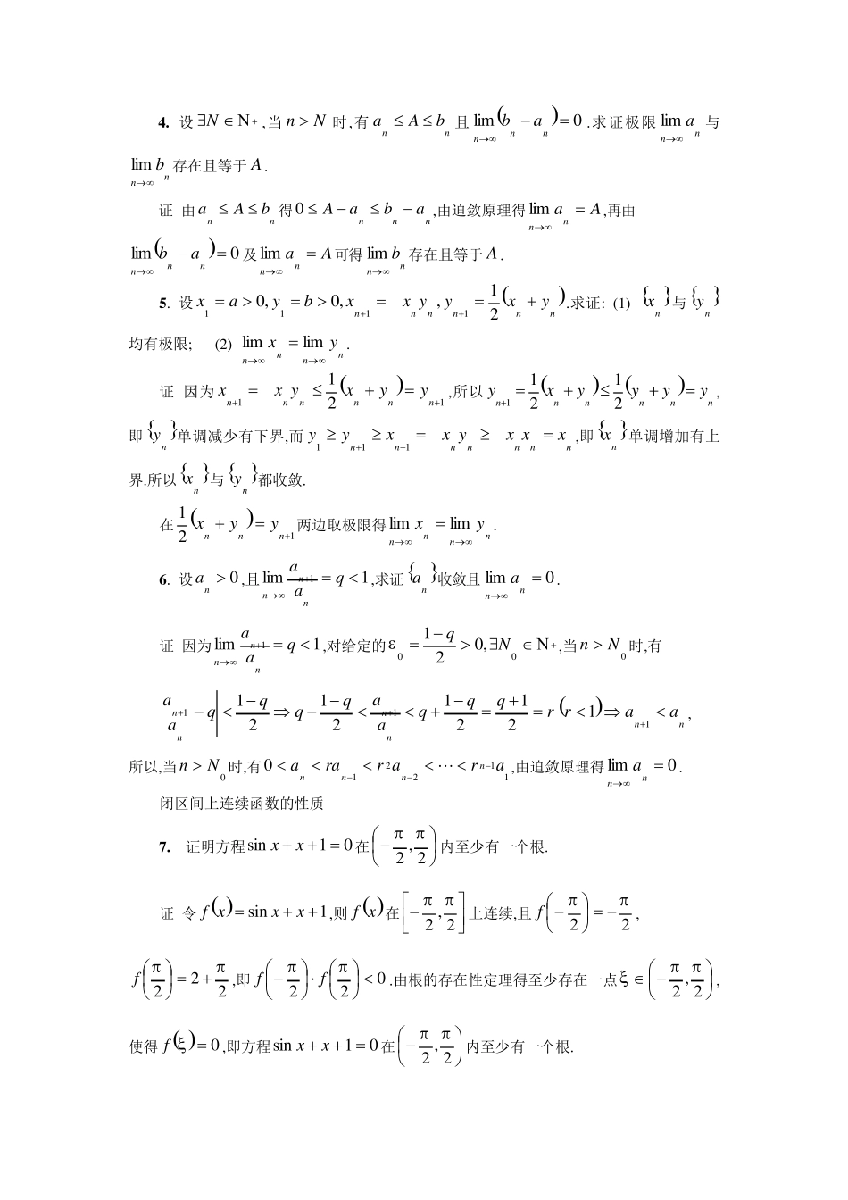
数学分析期末模拟考试题(证明部分新)_第1页
1/15
数学分析期末模拟考试题(证明部分新)_第2页
2/15
数学分析期末模拟考试题(证明部分新)_第3页
3/15
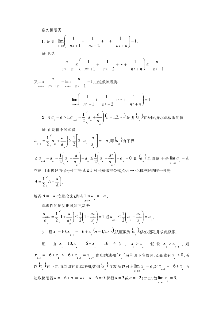
数列极限类 1 . 证明: 112111lim222nnnnn. 证 因为 11211122222nnnnnnnnn 又11limlim22nnnnnnn,由迫敛原理得 112111lim222nnnnn. 2 . 设,2,121,1111naaaaaannn,证明 na有极限,并求此极限的值. 证 由均值不等式得 aaaaaaaannnnn2212111,即 na有下界. 又0212121nnnnnnnnnaaaaaaaaaa,即 na单调减,于是Aannlim存在,且由极限的保号性可得1A.对已知递推公式,令n和极限的唯一性得 AaAA21, 解得aA (负根舍去),即有aannlim. 单调性的证明也可如下完成: 11211212221  nnnnnaaaaaa,或nnnnnaaaaa2121. 3 . 设,2,16,1011nxxxnn,试证数列 nx存在极限,并求此极限. 证 由4166,10121xxx知, 21xx . 假 设1kkxx, 则21166kkkkxxxx,由归纳法知 nx为单调下降数列.又显然有0nx,所以 nx有下界.由单调有界原理知,数列 nx收敛.所以可令axnnlim,对nnxx61两边取极限得0662aaaa,解得3a或2a(舍去),故3limnnx. 4 . 设N,当Nn 时,有nnbAa且0limnnnab.求证极限nnalim与nnblim存在且等于A . 证 由nnbAa得nnnabaA0,由迫敛原理得Aannlim,再由 0limnnnab及Aannlim可得nnblim存在且等于A . 5 . 设nnnnnnyxyyxxbyax21,,0,01111.求证: (1)  nx与 ny均有极限; (2) nnnnyx limlim. 证 因为1121nnnnnnyyxyxx,所以 nnnnnnyyyyxy21211,即 ny单调减少有下界,而nnnnnnnxxxyxxyy111,即 nx单调增加有上界.所以 nx与 ny都收敛. 在121nnnyyx两边取极限得nnnnyx limlim. 6 . 设0na,且1lim1qaannn,求证 na收敛且0limnna. 证 因为1lim1qaannn,对给定的00,021Nq...

1、当您付费下载文档后,您只拥有了使用权限,并不意味着购买了版权,文档只能用于自身使用,不得用于其他商业用途(如 [转卖]进行直接盈利或[编辑后售卖]进行间接盈利)。
2、本站所有内容均由合作方或网友上传,本站不对文档的完整性、权威性及其观点立场正确性做任何保证或承诺!文档内容仅供研究参考,付费前请自行鉴别。
3、如文档内容存在违规,或者侵犯商业秘密、侵犯著作权等,请点击“违规举报”。

碎片内容

数学分析期末模拟考试题(证明部分新)

小辰5+ 关注
实名认证
内容提供者

出售各种资料和文档

确认删除?
VIP
微信客服
  • 扫码咨询
会员Q群
  • 会员专属群点击这里加入QQ群
客服邮箱
回到顶部