电脑桌面
添加小米粒文库到电脑桌面
安装后可以在桌面快捷访问

数学分析期末试题集(填空题)VIP免费

数学分析期末试题集(填空题)_第1页
1/9
数学分析期末试题集(填空题)_第2页
2/9
数学分析期末试题集(填空题)_第3页
3/9
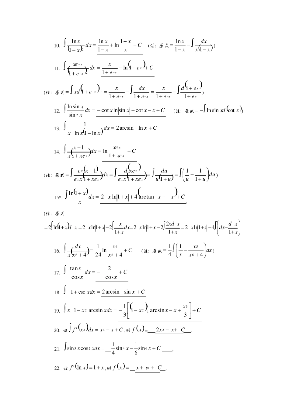
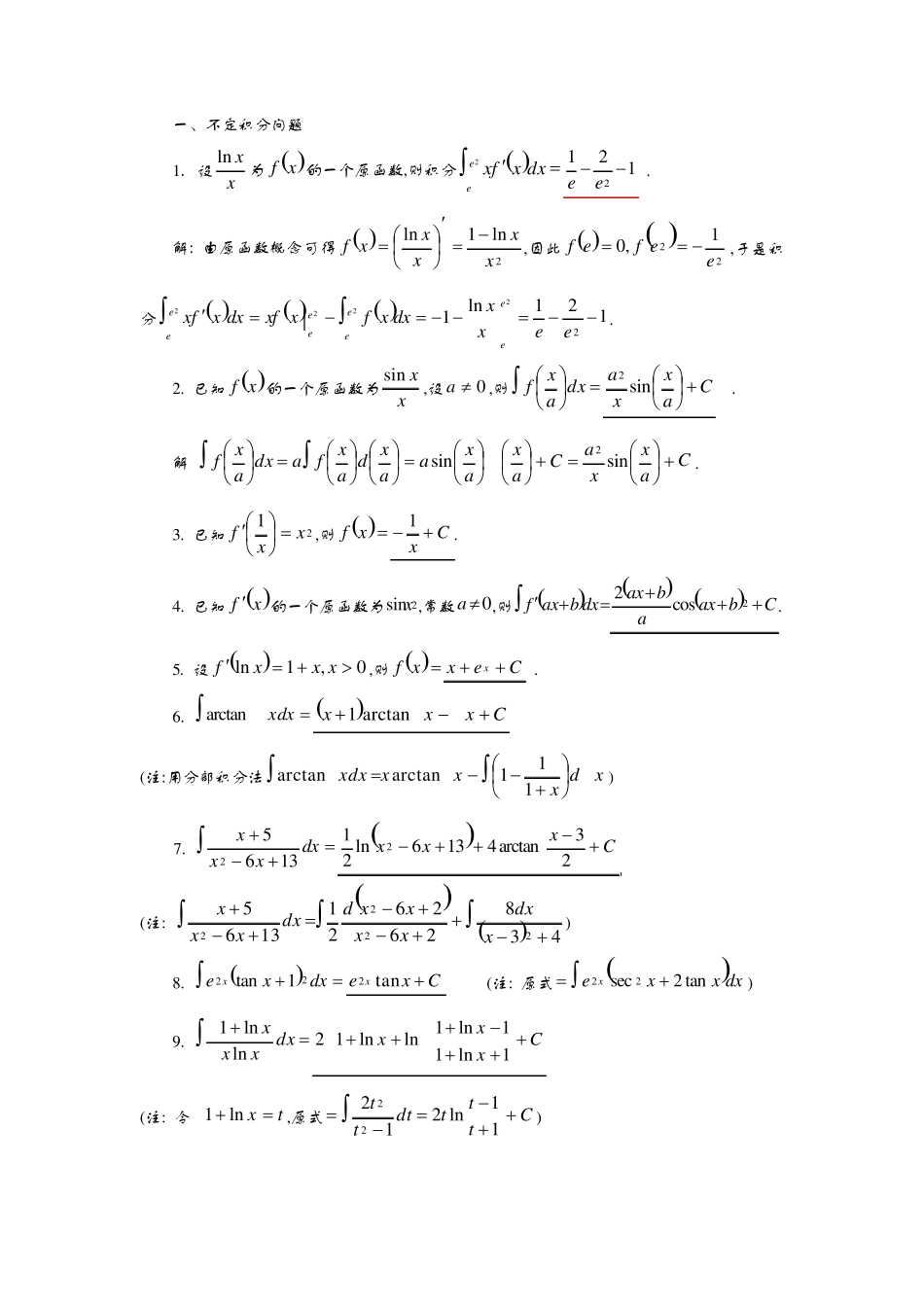
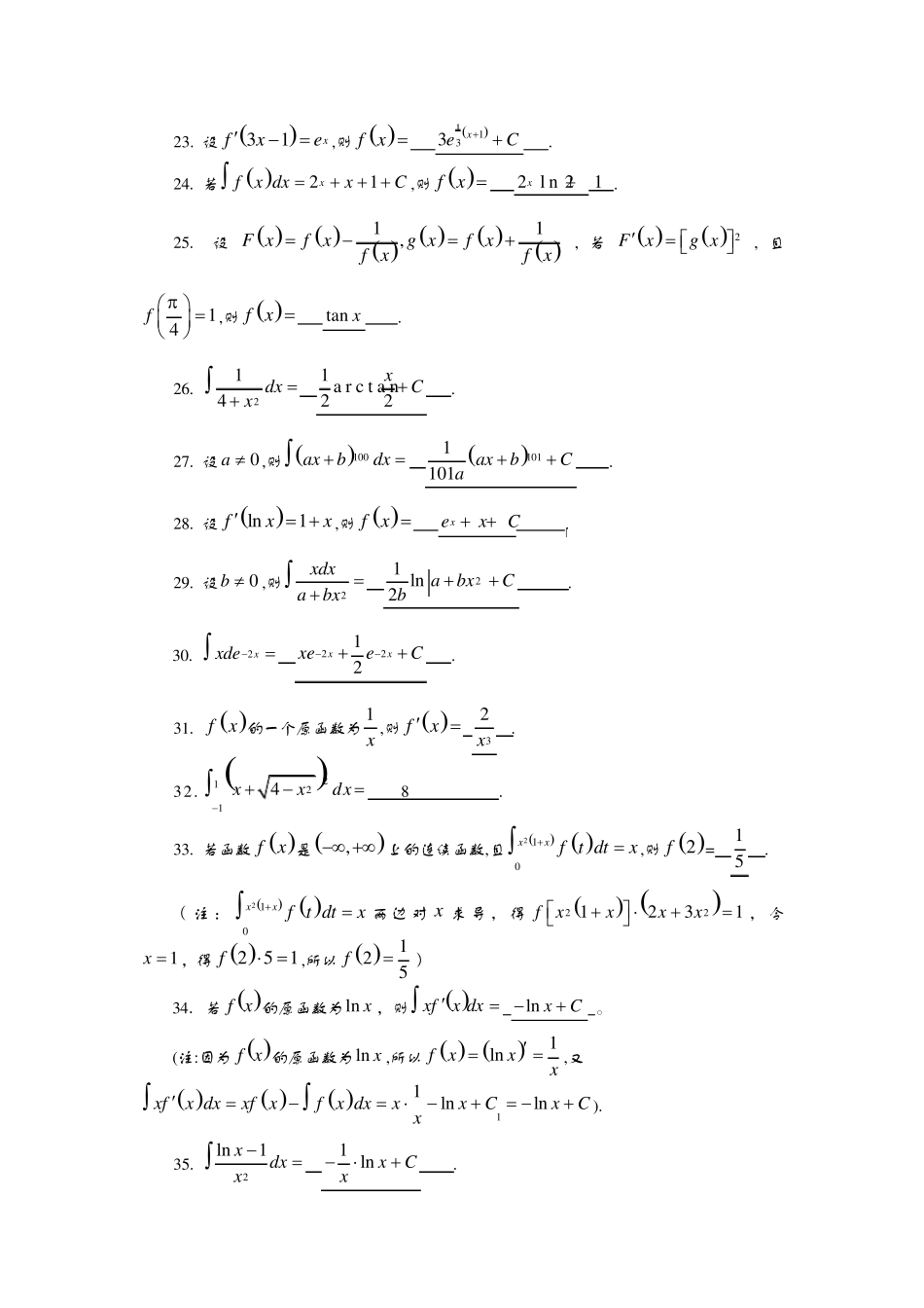
一、不定积分问题 1.设 xxln为  xf的一个原函数,则积分 2eedxxfx1212  ee . 解: 由原函数概念可得  2ln1lnxxxxxf,因此   221,0eefef,于是积分   121ln122222eexxdxxfxxfdxxfxeeeeeeee. 2. 已知  xf的一个原函数为xxsin,设0a,则dxaxfCaxxasin2 . 解 CaxxaCaxaxaaxdaxfadxaxfsinsin2. 3. 已知21xxf,则  xfCx  1. 4. 已知 xf 的一个原函数为2sinx ,常数0a,则 dxbaxfCbaxabax2cos2. 5. 设0,1lnxxxf,则  xfCexx  . 6. dxxarctanCxxxarctan1 (注:用分部积分法xdxxxdxx111arctanarctan) 7. dxxxx13652Cxxx23arctan4136ln212 (注: 43826262113652222xdxxxxxddxxxx) 8. dxxe x221tanCxe xtan2 (注: 原式dxxxe xtan2sec 22) 9. dxxxxlnln1Cxxx1ln11ln1lnln12 (注: 令tx  ln1,原式Ctttdttt 11ln21222) 10. dxxx21lnCxxxx1ln1ln (注: 原式xxdxxx11ln) 11. dxexexx21 Ceexxx1ln1 (注: 原式xxxxxxeedexedxexexd1111111) 12. dxxx2sinsinlnCxxxxcotsinlncot (注: 原式xxd cotsinln) 13. dxxxxln1ln1Cx lnarcsin2 14. dxxexxx11Cxexexx1ln (注: 原式  duuuuuduxexexeddxxexexexxxxxx1111111) 15* dxxx1ln Cxxxxarctan41ln2 (注: 原式 xxddxxxxxxdxxdxxxxxxdx141ln21221ln2121ln21ln2 16. 46xxdxCxx 4ln24166 (注: 原式dxxxx414165) 17. dxxxcostanCxcos2 18. dxxcsc1Cx sinarcsin2 19. ...

1、当您付费下载文档后,您只拥有了使用权限,并不意味着购买了版权,文档只能用于自身使用,不得用于其他商业用途(如 [转卖]进行直接盈利或[编辑后售卖]进行间接盈利)。
2、本站所有内容均由合作方或网友上传,本站不对文档的完整性、权威性及其观点立场正确性做任何保证或承诺!文档内容仅供研究参考,付费前请自行鉴别。
3、如文档内容存在违规,或者侵犯商业秘密、侵犯著作权等,请点击“违规举报”。

碎片内容

数学分析期末试题集(填空题)

确认删除?
VIP
微信客服
  • 扫码咨询
会员Q群
  • 会员专属群点击这里加入QQ群
客服邮箱
回到顶部