电脑桌面
添加小米粒文库到电脑桌面
安装后可以在桌面快捷访问

数值计算方法期末测验考试模拟试题VIP免费

数值计算方法期末测验考试模拟试题_第1页
1/5
数值计算方法期末测验考试模拟试题_第2页
2/5
数值计算方法期末测验考试模拟试题_第3页
3/5
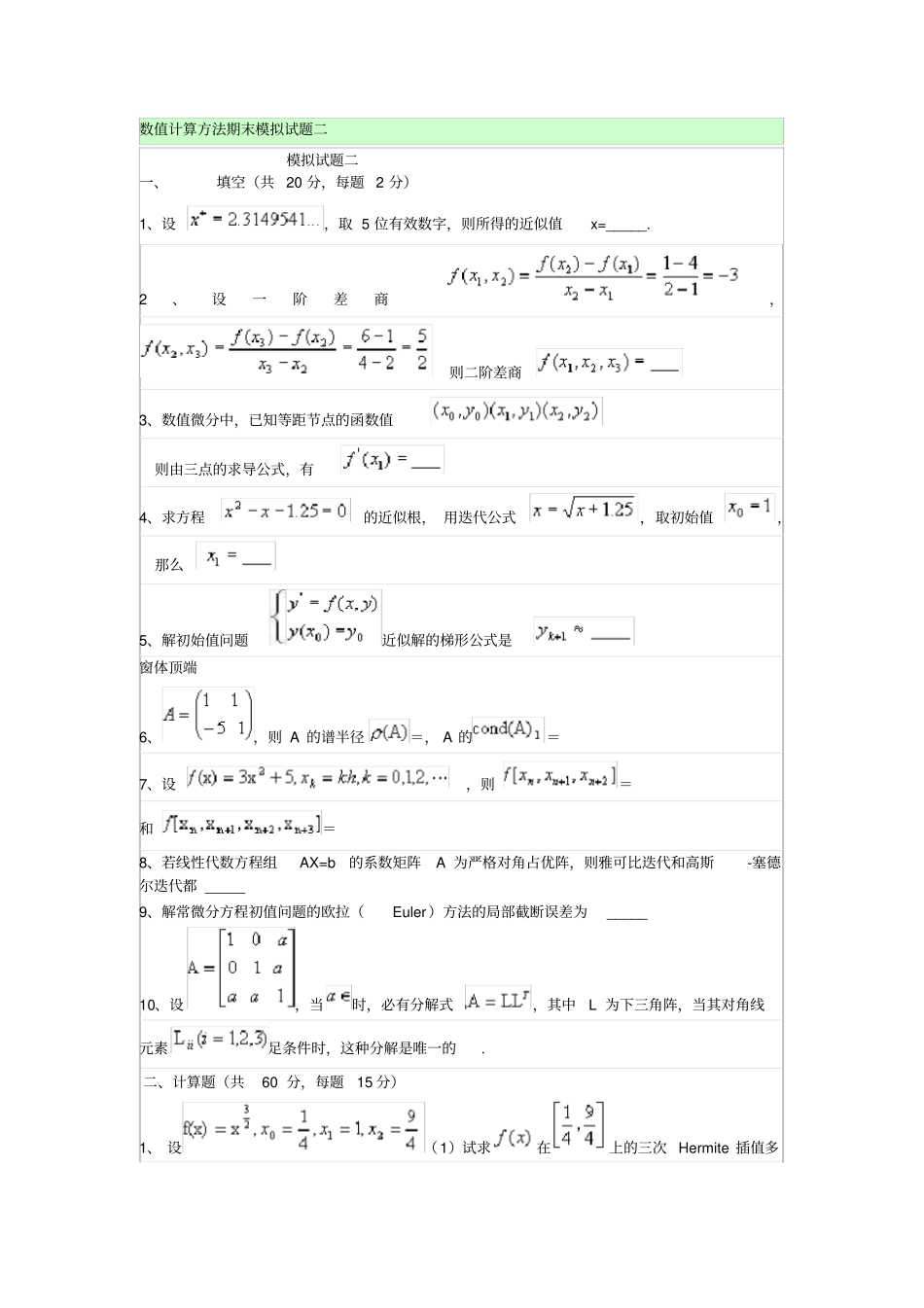
数值计算方法期末模拟试题二模拟试题二一、填空(共 20 分,每题 2 分)1、设,取 5 位有效数字,则所得的近似值x=_____. 2、设一阶差商,则二阶差商3、数值微分中,已知等距节点的函数值则由三点的求导公式,有4、求方程的近似根, 用迭代公式,取初始值,那么5、解初始值问题近似解的梯形公式是窗体顶端6、,则 A 的谱半径=, A 的=7、设,则=和=8、若线性代数方程组AX=b 的系数矩阵A 为严格对角占优阵,则雅可比迭代和高斯-塞德尔迭代都 _____ 9、解常微分方程初值问题的欧拉(Euler)方法的局部截断误差为_____ 10、设,当时,必有分解式,其中L 为下三角阵,当其对角线元素足条件时,这种分解是唯一的. 二、计算题(共60 分,每题15 分)1、 设(1)试求在上的三次 Hermite 插值多项式 H(x)使满足H( x)以升幂形式给出.(2)写出余项的表达式2、已知的满足,试问如何利用构造一个收敛的简单迭代函数,使0,1⋯收敛?3、试确定常数A ,B,C 和 ,使得数值积分公式有尽可能高的代数精度.试问所得的数值积分公式代数精度是多少?它是否为Gauss型的?4、推导常微分方程的初值问题的数值解公式:三、证明题1、设(1)写出解的 Newton 迭代格式( 2)证明此迭代格式是线性收敛的2、设 R=I- CA,如果,证明:(1)A、C 都是非奇异的矩阵(2)参考答案:一、填空题1、2.3150 2、3、4、1.5 5、6、7、8、 收敛9、O(h)10、二、计算题1、1、(1)(2)2、由,可得因故故,k=0,1, ⋯收敛 . 3、,该数值求积公式具有5 次代数精确度,它是Gauss型的4、 数值积分方法构造该数值解公式:对方程在区间上积分,得,记步长为h,对积分用 Simpson 求积公式得所以得数值解公式:三、证明题1、证明:(1)因,故,由 Newton 迭代公式:n=0,1, ⋯ 得,n=0,1, ⋯ (2)因迭代函数,而,又,则故此迭代格式是线性收敛的. 2、证明:(1)因,所以 I– R 非奇异,因I– R=CA ,所以 C,A 都是非奇异矩阵(2)(2)故则有( 2.1)因 CA=I – R,所以 C=( I– R)A-1 ,即 A-1= (I– R)-1C 又 RA-1=A-1 – C,故由(这里用到了教材98 页引理的结论)移项得(2.2) 结合( 2.1)、(2.2)两式,得

1、当您付费下载文档后,您只拥有了使用权限,并不意味着购买了版权,文档只能用于自身使用,不得用于其他商业用途(如 [转卖]进行直接盈利或[编辑后售卖]进行间接盈利)。
2、本站所有内容均由合作方或网友上传,本站不对文档的完整性、权威性及其观点立场正确性做任何保证或承诺!文档内容仅供研究参考,付费前请自行鉴别。
3、如文档内容存在违规,或者侵犯商业秘密、侵犯著作权等,请点击“违规举报”。

碎片内容

数值计算方法期末测验考试模拟试题

您可能关注的文档

确认删除?
VIP
微信客服
  • 扫码咨询
会员Q群
  • 会员专属群点击这里加入QQ群
客服邮箱
回到顶部