电脑桌面
添加小米粒文库到电脑桌面
安装后可以在桌面快捷访问

数列求和常用方法VIP免费

数列求和常用方法_第1页
1/8
数列求和常用方法_第2页
2/8
数列求和常用方法_第3页
3/8
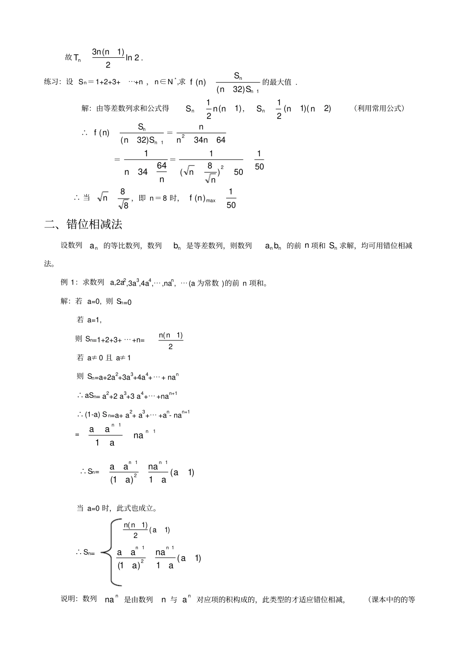
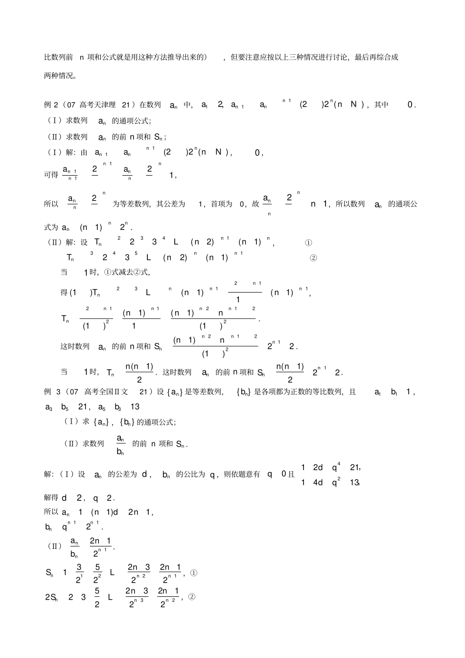
数列求和的常用方法周潭中学 — 周根虎数列求和是数列的重要内容之一,也是高考数学的重点考查对象。数列求和的基本思路是,抓通项,找规律,套方法。下面介绍数列求和的几种常用方法:一、直接(或转化)由等差、等比数列的求和公式求和利用下列常用求和公式求和是数列求和的最基本最重要的方法. 1、 等差数列求和公式:dnnnaaanSnn2)1(2)(112、等比数列求和公式:)1(11)1()1(111qqqaaqqaqnaSnnn3、)1(211nnkSnkn4、)12)(1(6112nnnkSnkn5、213)]1(21[nnkSnkn例 1(07 高考山东文18 )设 {}na是公比大于1 的等比数列,nS 为数列 {}na的前 n 项和.已知37S,且1233 34aaa, ,构成等差数列.(1 )求数列 {}na的等差数列.(2 )令31ln1 2nnbanL,,, ,求数列 {}nb的前 n 项和 T .解:( 1)由已知得1231327:(3)(4)3.2aaaaaa,解得22a.设数列 {}na的公比为 q ,由22a,可得1322aaqq,.又37S,可知 2227qq,即22520qq,解得12122qq,.由题意得12qq,.11a.故数列 {}na的通项为12nna.(2 )由于31ln1 2nnbanL,,, ,由( 1)得3312nna3ln 23 ln 2nnbn,又13ln 2nnnbb{}nb是等差数列.12nnTbbbL1()2(3ln 23ln 2)23 (1)ln 2.2nn bbnn n2)1(nn)1(2)1(ann故3 (1) ln 22nn nT.练习:设 Sn=1+2+3+⋯+n ,n∈N *,求1)32()(nnSnSnf的最大值 . 解:由等差数列求和公式得)1(21nnSn,)2)(1(21nnSn(利用常用公式)∴1)32()(nnSnSnf=64342nnn=nn64341=50)8(12nn501∴ 当88n,即 n=8 时,501)(maxnf二、错位相减法设数列na的等比数列,数列nb是等差数列,则数列nnba的前 n 项和nS 求解,均可用错位相减法。例 1:求数列 a,2a2,3a3,4a4,⋯,nan, ⋯(a 为常数 )的前 n 项和。解:若 a=0, 则 Sn=0 若 a=1, 则 Sn=1+2+3+ ⋯+n= 若 a≠0 且 a≠1 则 Sn=a+2a2+3a3+4a4+⋯+ nan∴aSn= a2+2 a3+3 a4+⋯+nan+1∴(1-a) S n=a+ a2+ a3+⋯ +an- nan+1= ∴Sn= 当 a=0 时,此式也成立。∴Sn= 说明:数列nna是由数列n 与na对应项的积构成的,此类型的才适应错位相减,(课本中的的等111nnnaaaa)1(1)1(121aanaaaann)1(1)1(121aanaaaann比数列前n 项和公式就是用这种方法推导出来的),但要注意应按以上三种情况进行讨论,最后再综合成两种情况。例 2(07 高考天津理21 )在数列na中,1112(2)2 ()nnnnaaanN,,其中0 .(Ⅰ)求数列na的通项公式;(Ⅱ)求...

1、当您付费下载文档后,您只拥有了使用权限,并不意味着购买了版权,文档只能用于自身使用,不得用于其他商业用途(如 [转卖]进行直接盈利或[编辑后售卖]进行间接盈利)。
2、本站所有内容均由合作方或网友上传,本站不对文档的完整性、权威性及其观点立场正确性做任何保证或承诺!文档内容仅供研究参考,付费前请自行鉴别。
3、如文档内容存在违规,或者侵犯商业秘密、侵犯著作权等,请点击“违规举报”。

碎片内容

数列求和常用方法

文库响当当+ 关注
实名认证
内容提供者

该用户很懒,什么也没介绍

确认删除?
VIP
微信客服
  • 扫码咨询
会员Q群
  • 会员专属群点击这里加入QQ群
客服邮箱
回到顶部