电脑桌面
添加小米粒文库到电脑桌面
安装后可以在桌面快捷访问

数列递推公式练习带答案VIP免费

数列递推公式练习带答案_第1页
1/3
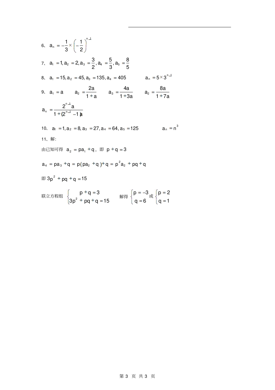
数列递推公式练习带答案_第2页
2/3
数列递推公式练习带答案_第3页
3/3
第 1 页 共 3 页数列递推公式练习1、数列,9910,638,356,154,32中第 8 项是()A. 19514B. 25516C. 32318D. 399202、已知数列na满足nnnnaaa111且11a,则35aa()A. 1516B. 34C. 158D. 383、数列na中,已知*1221,2,1Nnaaaaannn,则2002a()A. 1 B. 1C. 2D. 2 4、已知*1133,21Nnaaaannn,则na()A. 52nB. 42nC. 53nD. 43n5、数列na满足341nnaa且01a,则此数列第5 项是()A. 15 B. 255 C. 16 D. 63 6、数列na中,02,311nnaaa,数列nb的通项nb 满足关系式*1Nnbannn,则nb。7、设数列na满足11a,1111naann,写出这个数列的前5 项。8、设数列na满足51a,nnaa31,写出这个数列的前5 项并归纳猜想通项公式。9、数列na中,nnnaaaaa12,11,写出这个数列的前4 项,并根据前4 项观察规律,第 2 页 共 3 页写出数列的一个通项公式。10、设数列na满足11a,13321nnaann,写出这个数列的前5 项并归纳通项公式。11、已知数列na满足qpaaann 11,1,且15,342aa,求qp,的值。参考答案:1、 B 2、 B 3、 B 4、 C 5、B 第 3 页 共 3 页6、12131nna7、58,35,23,2,154321aaaaa8、405,135,45,154321aaaa135nna9、aaaaaaaaaaa718314122321aaannn12121110、125,64,27,8,154321aaaaa3na n11、解:由已知可得qpaa12,即3qpqpqapqqpapqpaa22234即1532qpqp联立方程组15332qpqpqp解得63qp或12qp

1、当您付费下载文档后,您只拥有了使用权限,并不意味着购买了版权,文档只能用于自身使用,不得用于其他商业用途(如 [转卖]进行直接盈利或[编辑后售卖]进行间接盈利)。
2、本站所有内容均由合作方或网友上传,本站不对文档的完整性、权威性及其观点立场正确性做任何保证或承诺!文档内容仅供研究参考,付费前请自行鉴别。
3、如文档内容存在违规,或者侵犯商业秘密、侵犯著作权等,请点击“违规举报”。

碎片内容

数列递推公式练习带答案

爱的疯狂+ 关注
实名认证
内容提供者

该用户很懒,什么也没介绍

相关文档

确认删除?
VIP
微信客服
  • 扫码咨询
会员Q群
  • 会员专属群点击这里加入QQ群
客服邮箱
回到顶部