电脑桌面
添加小米粒文库到电脑桌面
安装后可以在桌面快捷访问

整式的乘除因式分解计算题精选1含答案剖析VIP免费

整式的乘除因式分解计算题精选1含答案剖析_第1页
1/11
整式的乘除因式分解计算题精选1含答案剖析_第2页
2/11
整式的乘除因式分解计算题精选1含答案剖析_第3页
3/11
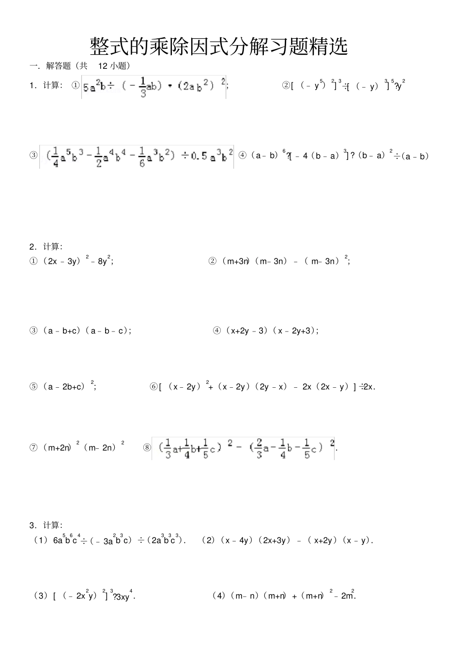
整式的乘除因式分解习题精选一.解答题(共12 小题)1.计算: ①;②[ (﹣ y5)2]3÷[ (﹣ y)3]5?y2③④(a﹣ b)6?[ ﹣ 4(b﹣a)3] ?(b﹣ a)2÷(a﹣b)2.计算:①(2x﹣3y)2﹣8y2;②(m+3n)(m﹣3n)﹣( m﹣3n)2;③(a﹣b+c)( a﹣b﹣c);④(x+2y﹣3)( x﹣2y+3);⑤(a﹣2b+c)2;⑥[ (x﹣2y)2+(x﹣2y)(2y﹣x)﹣ 2x(2x﹣y)] ÷2x.⑦(m+2n)2(m﹣2n)2 ⑧.3.计算:(1)6a5b6c4÷(﹣ 3a2b3c)÷(2a3b3c3). (2)(x﹣4y)(2x+3y)﹣( x+2y)(x﹣y).(3)[ (﹣ 2x2y)2]3?3xy4.(4)(m﹣n)(m+n)+(m+n)2﹣2m2.精品文档。2欢迎下载4.计算:(1)( x2)8?x4÷x10﹣2x5?(x3)2÷x.(2)3a3b2÷a2+b?(a2b﹣3ab﹣5a2b).(3)( x﹣3)( x+3)﹣( x+1)(x+3).( 4)(2x+y)(2x﹣y)+( x+y)2﹣2(2x2﹣xy).5.因式分解:①6ab3﹣ 24a3b;②﹣2a2+4a﹣ 2;③4n2(m﹣2)﹣ 6(2﹣m);④2x2y﹣ 8xy+8y;⑤a2(x﹣y)+4b2(y﹣x);⑥4m2n2﹣( m2+n2)2;⑦;⑧( a2+1)2﹣4a2;⑨3xn+1﹣6xn+3xn﹣1 ⑩x2﹣y2+2y﹣1; 4a2﹣b2﹣4a+1; 4(x﹣y)2﹣4x+4y+1 ;3ax2﹣6ax﹣9a; x4﹣6x2﹣27;(a2﹣2a)2﹣2(a2﹣2a)﹣ 3.精品文档。3欢迎下载6.因式分解:(1)4x3﹣4x2y+xy2.(2)a2(a﹣1)﹣ 4(1﹣a)2.7.给出三个多项式:x2+2x﹣ 1,x2+4x+1,x2﹣2x.请选择你最喜欢的两个多项式进行加法运算,并把结果因式分解.8.先化简,再求值: ( 2a+b)( 2a﹣b)+b(2a+b)﹣ 4a2b÷b,其中 a=﹣,b=2.9.当 x=﹣1,y=﹣2 时,求代数式 [2x2﹣( x+y)(x﹣y) ][ (﹣ x﹣y)(﹣ x+y)+2y2] 的值.10.解下列方程或不等式组:①(x+2)(x﹣ 3)﹣( x﹣6)( x﹣1)=0;②2( x﹣3)( x+5)﹣( 2x﹣1)(x+7)≤4.11.先化简,再求值:(1)( x+2y)( 2x+y)﹣( x+2y)(2y﹣x),其中,.精品文档。4欢迎下载(2)若 x﹣y=1,xy=2,求 x3y﹣ 2x2y2+xy3.12.解方程或不等式:(1)( x+3)2+2(x﹣1)2=3x2+13.(2)( 2x﹣5)2+(3x+1)2> 13(x2﹣10).整式的乘除因式分解习题精选参考答案与试题解析一.解答题(共12 小题)1.计算:①;②[ (﹣ y5)2]3÷[ (﹣ y)3]5?y2③;④(a﹣b)6?[ ﹣4(b﹣a)3] ?(b﹣a)2÷( a﹣b)精品文档。5欢迎下载考点: 整式的混合运算...

1、当您付费下载文档后,您只拥有了使用权限,并不意味着购买了版权,文档只能用于自身使用,不得用于其他商业用途(如 [转卖]进行直接盈利或[编辑后售卖]进行间接盈利)。
2、本站所有内容均由合作方或网友上传,本站不对文档的完整性、权威性及其观点立场正确性做任何保证或承诺!文档内容仅供研究参考,付费前请自行鉴别。
3、如文档内容存在违规,或者侵犯商业秘密、侵犯著作权等,请点击“违规举报”。

碎片内容

整式的乘除因式分解计算题精选1含答案剖析

您可能关注的文档

确认删除?
VIP
微信客服
  • 扫码咨询
会员Q群
  • 会员专属群点击这里加入QQ群
客服邮箱
回到顶部