电脑桌面
添加小米粒文库到电脑桌面
安装后可以在桌面快捷访问

期末复习二次根式VIP专享VIP免费

期末复习二次根式_第1页
1/6
期末复习二次根式_第2页
2/6
期末复习二次根式_第3页
3/6
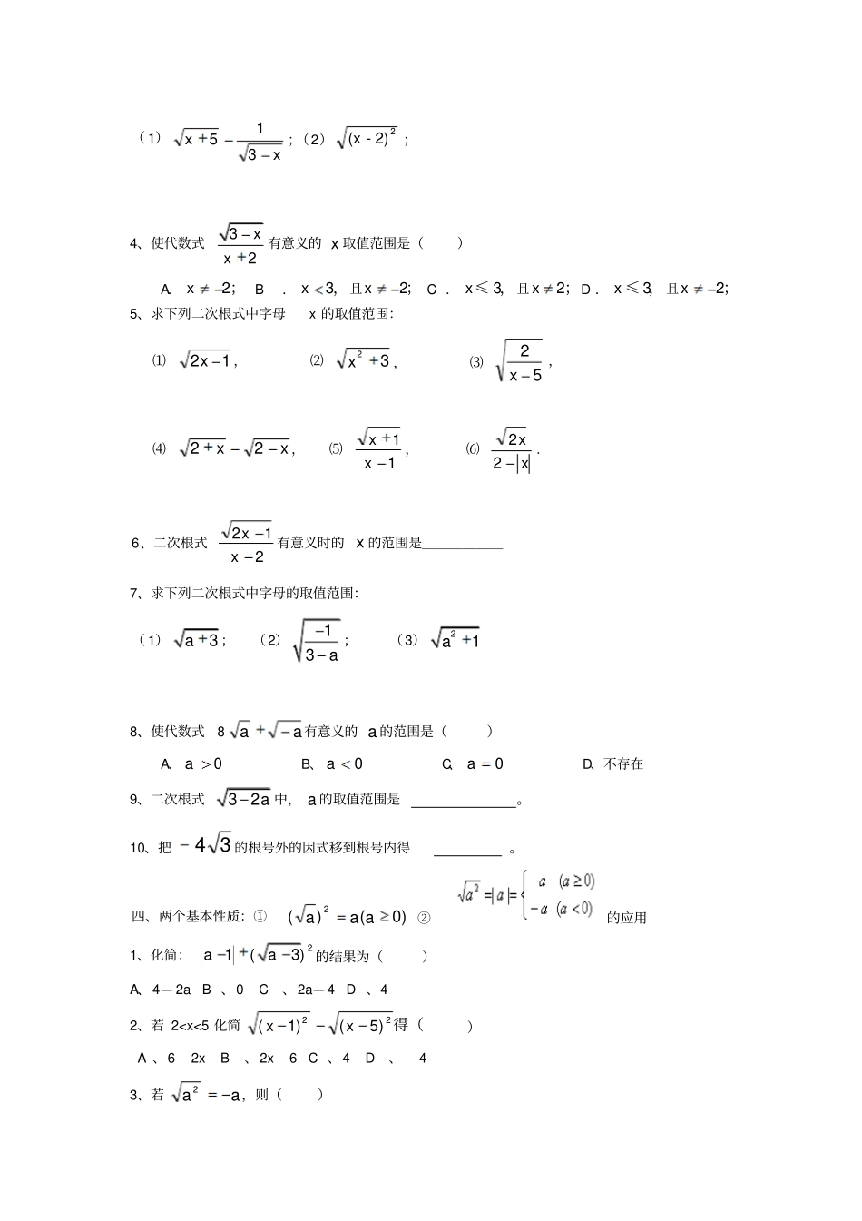
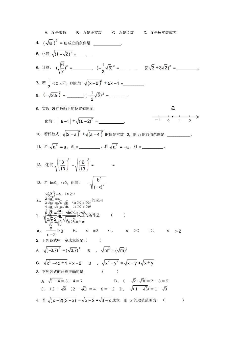
第一章《二次根式》复习一、像24,3,2abs 这样表示的算术平方根,且根号内含字母的代数式叫做二次根式为了方便,我们把一个数的算术平方根(如3 )也叫做二次根式。二、二次根式被开方数不小于0 1、下列各式中不是二次根式的是()(A)12x(B)4(C)0(D)2ba2、判断下列代数式中哪些是二次根式?⑴21 , ⑵16 , ⑶9a, ⑷12x, ⑸222aa,⑹x (0x), ⑺23m。答: _____________________ 3、下列各式是二次根式的是()A、8 B 、3 5 C 、2x D、2xx4、下列各式中,不是二次根式的是() A .45 B.3 C.22a D.125、下列各式中,是二次根式是(). (A)x(B)30(C)1a(D)21b6、若01yxx,则20052006yx的值为:()A 、0 B、1 C、 -1 D、 2 7、已知221yxx,则 yx。8、若 x、y 都为实数,且15200752008xxy,则yx2=________。三、含二次根式的代数式有意义(1)二次根式被开方数不小于0 ( 2)分母含有字母的,分母不等于0 1、x 取什么值时,45x有意义 ()(A)x>45(B)x<54(C)x≥54(D) x ≤542、如果x35是二次根式,那么x 应适合的条件是()A、 x ≥3 B、 x ≤3 C、 x >3 D、 x <3 3、求下列二次根式中字母的取值范围( 1)xx315;(2)22)-(x;4、使代数式32xx有意义的 x 取值范围是()A.2x; B.32xx且,; C .32xx且,;≤ D .32xx且,;≤5、求下列二次根式中字母x 的取值范围:⑴12x,⑵32x,⑶52x,⑷xx22,⑸11xx,⑹xx22. 6、二次根式212xx有意义时的 x 的范围是______7、求下列二次根式中字母的取值范围:( 1)3a;(2)13a;(3)21a8、使代数式8aa有意义的 a 的范围是()A、0aB、0aC、0aD、不存在9、二次根式32a 中, a 的取值范围是。10、把34的根号外的因式移到根号内得。四、两个基本性质:①)0()(2aaa②的应用1、化简:21(3)aa的结果为()A、4— 2a B 、0 C、2a— 4 D 、4 2、若 2

1、当您付费下载文档后,您只拥有了使用权限,并不意味着购买了版权,文档只能用于自身使用,不得用于其他商业用途(如 [转卖]进行直接盈利或[编辑后售卖]进行间接盈利)。
2、本站所有内容均由合作方或网友上传,本站不对文档的完整性、权威性及其观点立场正确性做任何保证或承诺!文档内容仅供研究参考,付费前请自行鉴别。
3、如文档内容存在违规,或者侵犯商业秘密、侵犯著作权等,请点击“违规举报”。

碎片内容

期末复习二次根式

确认删除?
微信客服
  • 扫码咨询
会员Q群
  • 会员专属群点击这里加入QQ群