电脑桌面
添加小米粒文库到电脑桌面
安装后可以在桌面快捷访问

2013辽宁高考数学文科试题及解析VIP免费

2013辽宁高考数学文科试题及解析_第1页
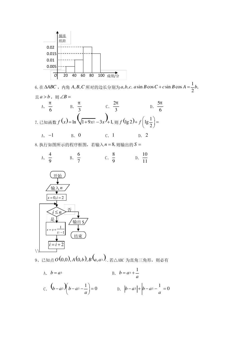
1/14
2013辽宁高考数学文科试题及解析_第2页
2/14
2013辽宁高考数学文科试题及解析_第3页
3/14
绝密★启用前 2013 年普通高等学校招生全国统一考试(辽宁卷) 数 学(供文科考生使用) 乐享玲珑,为中国数学增光添彩! 免费玲珑 3D 画板,全开放的几何教学软件,功能强大,好用实用 第 I 卷 一、选择题:本大题共 12 小题,每小题 5 分,共 40 分.在每小题给出的四个选项中,只有一项是符合题目要求的. 1.已知集合1,2,3,4 ,|2 ,ABx x 则 AB  (A) 0 (B) 0,1 (C)0,2 (D)0,1,2 2.复数的11Zi  模为 (A) 12 (B)22 (C)2 (D)2 3.已知点 1,3 ,4, 1 ,AB则与向量 AB 同方向的单位向量为 (A) 3455,- (B) 4355,- (C)3 45 5, (D)4 35 5, 4.下面是关于公差0d 的等差数列 na的四个命题: 1 :p 数列 na是递增数列; 2 :p数列nna是递增数列; 3 :p数列nan是递增数列; 4 :p数列3nand是递增数列; 其中的真命题为 (A)12,pp (B)34,pp (C)23,pp (D)14,pp 5.某学校组织学生参加英语测试,成绩的频率分布直方图如图, 数据的分组一次为   20,40 , 40,60 , 60,80 ,8 20,100 . 若低于 60 分的人数是 15 人,则该班的学生人数是 (A) 45 (B)50 (C)55 (D)60 6.在ABC,内角, ,A B C 所对的边长分别为, , .a b c1sincossincos,2aBCcBAb 且ab,则B A.6 B.3 C.23 D.56 7.已知函数 2ln1 931,f xxx则1lg 2lg 2ff  A.1 B.0 C.1 D.2 8.执行如图所示的程序框图,若输入8,n 则输出的S  A.49 B.67 C.89 D.1011 \\ 9、已知点 30,0 ,0,,,.OAbB a a.若△ABC 为直角三角形,则必有 A.3ba B.31baa C.3310babaa D.3310babaa 0.02 0.015 0.01 0.005 频率 组距 O 20 40 60 80 100 成绩/分 否 是 开始 输入n 0,2si in211ssi 2ii  输出S 结束 10、已知三棱柱111ABCA B C的 6 个顶点都在球O 的球面上. 若34ABAC,, ,ABAC112AA ,则球O 的半径为 A. 3 172 B.2 10 C.132 D.3 10 11、已知椭圆2222:1(0)xyCabab的左焦点...

1、当您付费下载文档后,您只拥有了使用权限,并不意味着购买了版权,文档只能用于自身使用,不得用于其他商业用途(如 [转卖]进行直接盈利或[编辑后售卖]进行间接盈利)。
2、本站所有内容均由合作方或网友上传,本站不对文档的完整性、权威性及其观点立场正确性做任何保证或承诺!文档内容仅供研究参考,付费前请自行鉴别。
3、如文档内容存在违规,或者侵犯商业秘密、侵犯著作权等,请点击“违规举报”。

碎片内容

2013辽宁高考数学文科试题及解析

小辰7+ 关注
实名认证
内容提供者

出售各种资料和文档

确认删除?
VIP
微信客服
  • 扫码咨询
会员Q群
  • 会员专属群点击这里加入QQ群
客服邮箱
回到顶部