电脑桌面
添加小米粒文库到电脑桌面
安装后可以在桌面快捷访问

[高等数学基础]形成性考核册答案VIP免费

[高等数学基础]形成性考核册答案_第1页
1/10
[高等数学基础]形成性考核册答案_第2页
2/10
[高等数学基础]形成性考核册答案_第3页
3/10
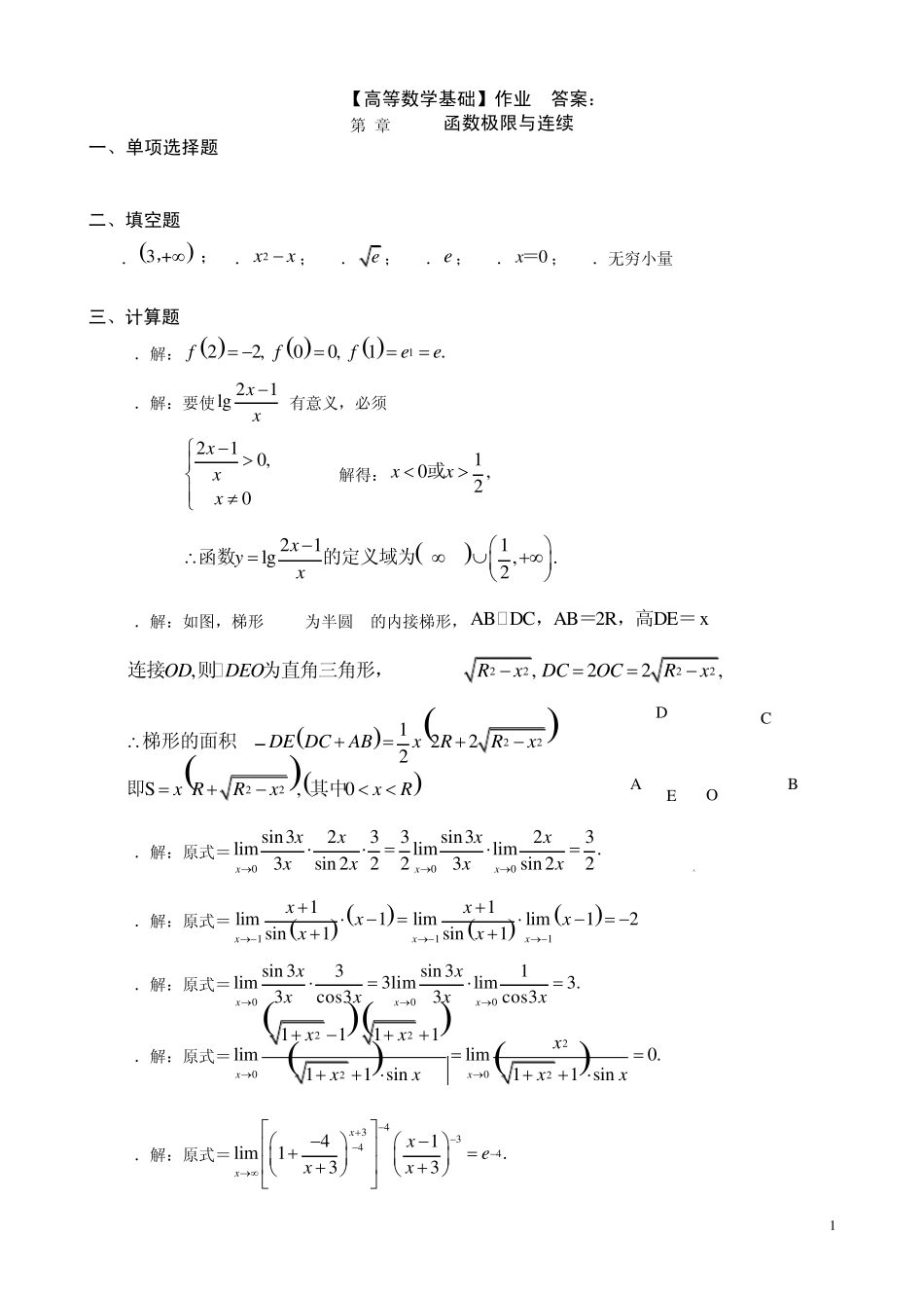
1 【高等数学基础】作业1答案: 第1章 函数极限与连续 一、单项选择题 1.C 2.C 3.B 4.C 5.D 6.C 7.A 二、填空题 1.3 +,; 2.2xx; 3.e ; 4.e ; 5.0x=; 6.无穷小量. 三、计算题 1.解: 22,f  00,f 11.fee 2.解:要使21lgxx 有意义,必须 210,0xxx 解得:10,2xx或 211lg,.2xyx函数的定义域为- ,0 3.解:如图,梯形ABCD为半圆O的内接梯形,AB DCAB2RDE x,=,高= 22,,ODDEORx连接则为直角三角形,OD=R,OE=2222,DCOCRx 22221222S,0DE DCABxRRxx RRxxR1梯形的面积S=2即其中 4.解:原式=000sin3233sin323limlimlim.3sin2223sin22xxxxxxxxxxx 5.解:原式=  11111lim1limlim12sin1sin1xxxxxxxxx  6.解:原式=000sin 33sin 31lim3limlim3.3cos33cos3xxxxxxxxx 7.解:原式=22200221111limlim0.11 sin11 sinxxxxxxxxx 8.解:原式=4334441lim1.33xxxexx A A E B O C D 2 9.解:原式=444222limlim.4113xxxxxxxx 高等数学基础】作业2答案: 导数与微分 一、 单项选择题 1.B 2.D 3.A 4.D 5.C 二、填空题 1.0; 2.2ln5xx; 3.12 ; 4.10y  ; 5.22ln1xxx ; 6.1x . 三、计算题 1.求下列函数的导数 y : 3132223(1)3,321 236 .2xxxxyxeyx exeyex xx 解:即  22211122 ln2 ln.sinsinyxxxxxxxxx   解:  2221132 ln2ln1 .lnlnxyxxxxxxx 解:  3264414sin2 ln 23cos221ln 23sin3cos.xxxyxxxxxxxxxxx 解:  222221152sinlncossin1 2lncos .sinsinyxxxxxxxxxxxxxx  解:  3sin64cos ln.xyxxxx 解:   222173cos23 ln3 sin31 cos2sin ln3ln3 ....

1、当您付费下载文档后,您只拥有了使用权限,并不意味着购买了版权,文档只能用于自身使用,不得用于其他商业用途(如 [转卖]进行直接盈利或[编辑后售卖]进行间接盈利)。
2、本站所有内容均由合作方或网友上传,本站不对文档的完整性、权威性及其观点立场正确性做任何保证或承诺!文档内容仅供研究参考,付费前请自行鉴别。
3、如文档内容存在违规,或者侵犯商业秘密、侵犯著作权等,请点击“违规举报”。

碎片内容

[高等数学基础]形成性考核册答案

您可能关注的文档

确认删除?
VIP
微信客服
  • 扫码咨询
会员Q群
  • 会员专属群点击这里加入QQ群
客服邮箱
回到顶部