电脑桌面
添加小米粒文库到电脑桌面
安装后可以在桌面快捷访问

求数列通项公式an的常用方法

求数列通项公式an的常用方法_第1页
1/3
求数列通项公式an的常用方法_第2页
2/3
求数列通项公式an的常用方法_第3页
3/3
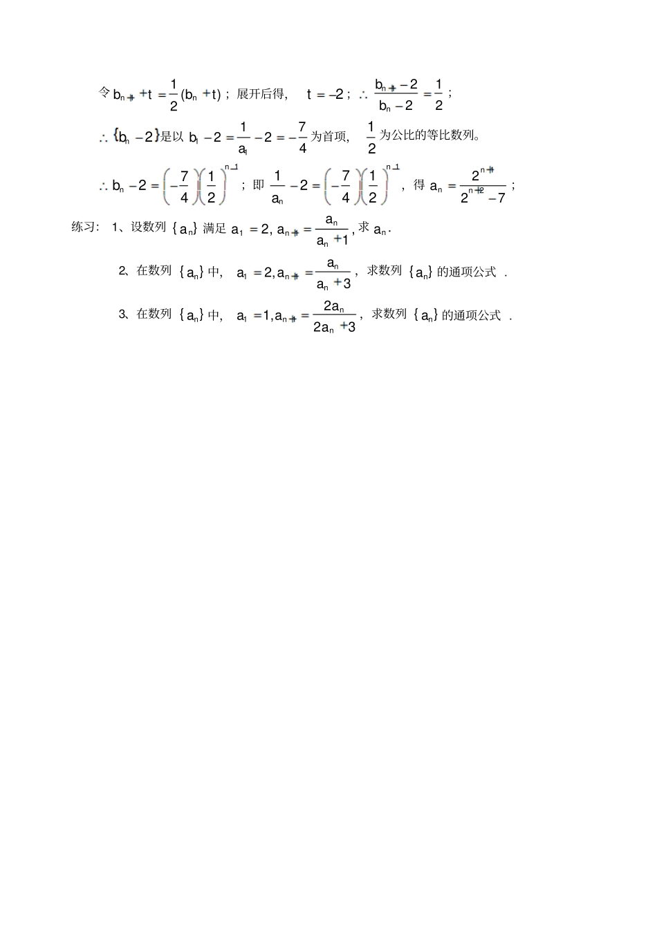
专题:求数列通项公式an 的常用方法一、 观察法已知数列前若干项,求该数列的通项时,一般对所给的项观察分析,寻找规律,从而根据规律写出此数列的一个通项。例 1 已知数列646132291613854121,,,,,写出此数列的一个通项公式。解观察数列前若干项可得通项公式为nnnna232)1(二、 公式法1、 运用等差(等比)数列的通项公式. 2、 已知数列}{na前 n 项和nS ,则2111nSSnSannn(注意:不能忘记讨论1n)例 2、已知数列 { an} 的前 n 和nS 满足,1)1(log 2nSn求此数列的通项公式。解得121nnS,当nnnnnnSSanan2222,31111时当时所以)2(2)1(3nnann三、1( )nnaaf n ( fn 可以求和)解决方法累加法例 3、在数列na中,已知1a =1,当2n时,有121nnaan2n,求数列的通项公式。解析:121(2)nnaannQ12...5312312naaaaaann上述1n个等式相加可得:练习: 1、已知数列na,1a =2,1na=na +3 n +2,求na 。2、 已知数列na满足11,a1132 ,nnnaan求通项公式na3、若数列的递推公式为1*113,2 3()nnnaaanN,则求这个数列的通项公式4. 已知数列na满足11,a且)1(11nnnaan,则求这个数列的通项公式四、1( )nnaf na (( )f n 可以求积)解决方法累积法例 4、在数列na中,已知11,a有11nnnana ,(2n) 求数列na的通项公式。解析:原式可化为n1122111......23nnnnnnnaaaaaa又1aQ也满足上式;21nan*()nN练习: 1、已知数列na满足321a,nnanna11,求na 。2、已知11a,1()nnnan aa*()nN, 求数列na通项公式 . 3、已知数列na满足11,a12nnnaa ,求通项公式na五、1(nnaAaB 其中 A,B为常数 A0,1 )解决方法待定常数法可将其转化为1()nnatA at ,其中1BtA,则数列nat为公比等于A的等比数列,然后求na 即可。例 5 在数列na中,11a,当2n时,有132nnaa,求数列na的通项公式。解析:设13nnatat ,则132nnaat1t,于是1131nnaa1na是以112a为首项,以3 为公比的等比数列。练习: 1、 在数列na中,11a,123nnaa,求数列na的通项公式。2、已知12a,1142nnnaa,求na 。3、已知数列}{na满足112,2(21)nnaaan,求通项na4. 已知数列}a{n满足1a425a3a1nn1n,,求数列}a{n的通项公式。六、1nnnc aapad (0c p d)解决方法倒数法例 6 已知14a,1221nnnaaa,求na 。解析:两边取倒数得:11112nnaa,设 1,nnba则1112nnbb;令11 ()2nnbtbt ;展开后得,2t;12122nnbb;2nb是以1117224ba为首项, 12为公比的等比数列。171242nnb;即1171242nna,得12227nnna;练习: 1、设数列}{na满足,21a1,1nnnaaa求.na2、在数列 {}na中,112,3nnnaaaa,求数列 {}na的通项公式 . 3、在数列 {}na中,1121,23nnnaaaa,求数列 {}na的通项公式 .

1、当您付费下载文档后,您只拥有了使用权限,并不意味着购买了版权,文档只能用于自身使用,不得用于其他商业用途(如 [转卖]进行直接盈利或[编辑后售卖]进行间接盈利)。
2、本站所有内容均由合作方或网友上传,本站不对文档的完整性、权威性及其观点立场正确性做任何保证或承诺!文档内容仅供研究参考,付费前请自行鉴别。
3、如文档内容存在违规,或者侵犯商业秘密、侵犯著作权等,请点击“违规举报”。

碎片内容

求数列通项公式an的常用方法

文库响当当+ 关注
实名认证
内容提供者

该用户很懒,什么也没介绍

相关文档

确认删除?
VIP
微信客服
  • 扫码咨询
会员Q群
  • 会员专属群点击这里加入QQ群
客服邮箱
回到顶部