电脑桌面
添加小米粒文库到电脑桌面
安装后可以在桌面快捷访问

求递推数列的通项公式的十一种方法包含特征根和不动点

求递推数列的通项公式的十一种方法包含特征根和不动点_第1页
1/4
求递推数列的通项公式的十一种方法包含特征根和不动点_第2页
2/4
求递推数列的通项公式的十一种方法包含特征根和不动点_第3页
3/4
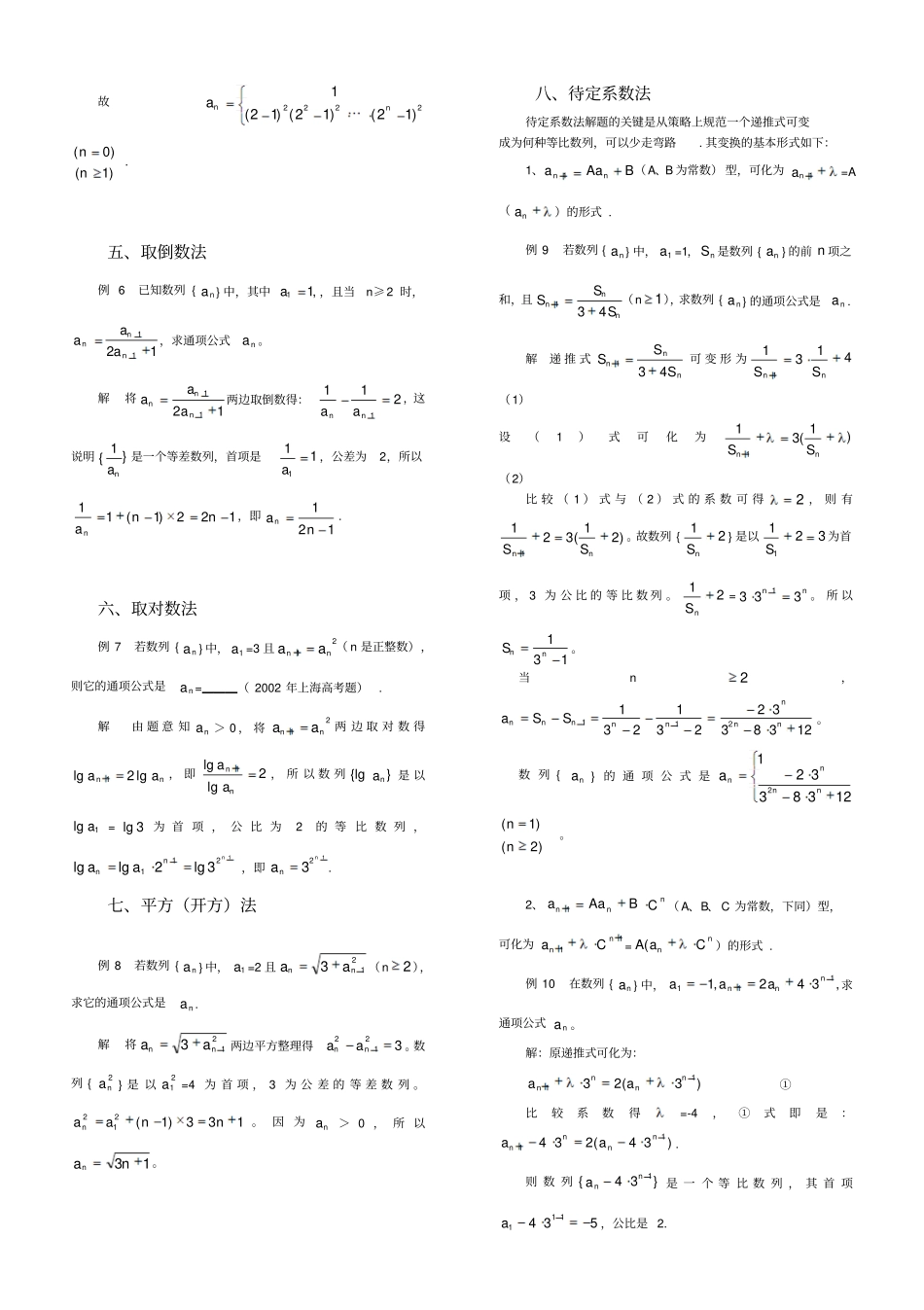
求递推数列的通项公式的九种方法利用递推数列求通项公式,在理论上和实践中均有较高的价值 . 自从二十世纪八十年代以来,这一直是全国高考和高中数学联赛的热点之一. 一、作差求和法例 1 在数列 {na } 中,31a,)1(11nnaann,求通项公式na . 解 : 原 递 推 式 可 化 为 :1111nnaann则,211112aa312123aa413134aa,⋯⋯,nnaann1111逐项相加得:naa n111. 故na n14. 二、作商求和法例2 设 数 列 {na} 是 首 项 为 1的 正 项 数 列 , 且0)1(1221nnnnaanaan(n=1,2,3 ⋯),则它的通项公式是na =▁▁▁( 2000 年高考 15 题)解:原递推式可化为:)]()1[(11nnnnaanaan=0 nnaa1>0,11nnaann则,43,32,21342312aaaaaa⋯ ⋯ ,nnaann11逐项相乘得:naa n11,即na =n1 . 三、换元法例 3 已知数列 {na } ,其中913,3421aa,且当 n≥3时,)(31211nnnnaaaa,求通项公式na (1986 年高考文科第八题改编). 解:设11nnnaab,原递推式可化为:}{,3121nnnbbb是一个等比数列,9134913121aab,公比为31.故nnnnbb)31()31(91)31(2211. 故nnnaa)31(1. 由逐差法可得:nna)31(2123. 例 4 已知数列 {na } ,其中2,121aa,且当 n≥3 时,1221nnnaaa, 求 通 项 公 式na。 解由1221nnnaaa得:1)()(211nnnnaaaa,令11nnnaab,则上式为121nnbb,因此}{nb是一个等差数列,1121aab,公差为 1. 故nbn. 。由于112312121nnnnaaaaaaabbb又2)1(121nnbbbn所以)1(211nna n,即)2(212nna n四、积差相消法例 5(1993 年全国数学联赛题一试第五题)设正数列0a ,1a ,na⋯ ,na, ⋯ 满 足2nnaa21nn aa=12na)2(n且110aa,求}{na的通项公式 . 解将 递 推 式 两 边 同 除 以21nn aa整 理 得 :12211nnnnaaaa设nb =1nnaa,则011aab=1,121nnbb,故有12 12bb⑴1223bb⑵⋯⋯⋯⋯121nnbb (1n) 由 ⑴22n+ ⑵32n +⋯ +(1n)02得122221nnb=12n,即1nnaa=12n. 逐项相乘得:na =2)12(222)12()12(n,考虑到10a,故2222)12()12()12(1nna)1()0(nn . 五、取倒数法例 6 已知数列 {na } 中,其中,11a,且当n≥2 时,1211nnnaaa,求通项公式na 。解将1211nnnaaa两边取倒数得:2111nnaa,这说明}1{na是一个等差数列,首项是111a,公差为2,所以122)1(11nna n,即121na n. 六、取对数法例 7 若数列 {na } 中,1a =3 且21nnaa( n 是正整数),则它的通项公式是na...

1、当您付费下载文档后,您只拥有了使用权限,并不意味着购买了版权,文档只能用于自身使用,不得用于其他商业用途(如 [转卖]进行直接盈利或[编辑后售卖]进行间接盈利)。
2、本站所有内容均由合作方或网友上传,本站不对文档的完整性、权威性及其观点立场正确性做任何保证或承诺!文档内容仅供研究参考,付费前请自行鉴别。
3、如文档内容存在违规,或者侵犯商业秘密、侵犯著作权等,请点击“违规举报”。

碎片内容

求递推数列的通项公式的十一种方法包含特征根和不动点

爱的疯狂+ 关注
实名认证
内容提供者

该用户很懒,什么也没介绍

相关文档

确认删除?
VIP
微信客服
  • 扫码咨询
会员Q群
  • 会员专属群点击这里加入QQ群
客服邮箱
回到顶部