电脑桌面
添加小米粒文库到电脑桌面
安装后可以在桌面快捷访问

沪科版八年级下册数学第十六章二次根式练习题附解析

沪科版八年级下册数学第十六章二次根式练习题附解析_第1页
1/4
沪科版八年级下册数学第十六章二次根式练习题附解析_第2页
2/4
沪科版八年级下册数学第十六章二次根式练习题附解析_第3页
3/4
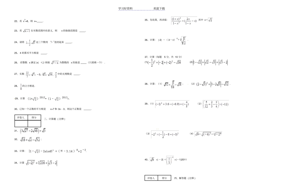
学习好资料欢迎下载一、单选题 ( 注释 ) 1、计算的结果是A.﹣ 3 B.3 C.﹣ 9 D.9 2、下列运算正确的是A.a+a=a2B.a6÷a3=a2C.(π﹣3.14)0=0 D.3、下列等式成立的是A.a2?a5=a10B.C.(﹣ a3) 6=a18D.4、化简的结果是()A.B.2 C.D.1 5、的平方根是()A.2 B.± 2 C.D.±6、下列命题中正确的是()A.两个无理数的和一定是无理数B.正数的平方根一定是正数C.开立方等于它本身的实数只有1 D.负数的立方根是负数7、下列运算正确的是()A.B.C.D.8、在这四个实数中,最大的是()A.B.C.D.0 9、下列各数中,是无理数的是()A.﹣ 2 B.0 C.D.10、如图,长方形内有两个相邻的正方形,面积分别为4 和 9,那么图中阴影部分的面积为()A.1 B.2 C.3 D.4 11、若式子在实数范围内有意义,则x 的取值范围是A.x≥3B.x≤3C.x>3 D.x<3 12、下列计算中,正确的是A.B.C.D.13、函数中自变量 x 的取值范围是A.x>1 B.x ≥1C.x≤1D.x≠114、函数中,自变量x 的取值范围是A.x>1 B.x≥1C.x>- 2 D.x≥―215、的平方根是()A.4 B.± 4 C.2 D.± 2 16、计算的结果为A.﹣ 1 B.1 C.D.7 17、函数中自变量 x 的取值范围是A.x≥﹣3 B.x≥3C.x≥0且 x≠1D.x≥﹣3 且 x≠118、下列计算正确的是( ) A.B.C.D.19、下列各式中最简二次根式为( ) A.B.C.D.20、以下不能构成三角形三边长的数组是()A.(1,,2)B.(,,)C.(3,4,5)D.(32, 42,52)二、填空题 ( 注释 )21、若在实数范围内有意义,则x 的取值范围是.学习好资料欢迎下载22、若 x3=8,则 x=.23、若在实数范围内有意义,则x 的取值范围是.24、请将这三个数用 “>”连结起来.25、4 的算术平方根是.26、 若整数 x 满足 |x| ≤3,则使为整数的 x 的值是(只需填一个) .27、实数中的无理数是.28、的立方根是.29、计算=.30、已知一个正数的平方根是x+7 和 3x﹣3,则这个正数是.评卷人得分三、计算题 ( 注释 )31、32、;33、计算:. 34、计算35、先化简,再求值:其中 x=36、计算: |-2| -( 3-π)0+2.37、计算(每题5 分,共 10 分)(1)(2)38、计算:(1);(2).39、(1)(2)(3)(4)40、+| -2| ++(-1)2011 评卷人得分四、解答题 ( 注释 )学习好资料欢迎下载41、已知实数x,y 满足 y= + —28, 求42...

1、当您付费下载文档后,您只拥有了使用权限,并不意味着购买了版权,文档只能用于自身使用,不得用于其他商业用途(如 [转卖]进行直接盈利或[编辑后售卖]进行间接盈利)。
2、本站所有内容均由合作方或网友上传,本站不对文档的完整性、权威性及其观点立场正确性做任何保证或承诺!文档内容仅供研究参考,付费前请自行鉴别。
3、如文档内容存在违规,或者侵犯商业秘密、侵犯著作权等,请点击“违规举报”。

碎片内容

沪科版八年级下册数学第十六章二次根式练习题附解析

您可能关注的文档

确认删除?
VIP
微信客服
  • 扫码咨询
会员Q群
  • 会员专属群点击这里加入QQ群
客服邮箱
回到顶部