电脑桌面
添加小米粒文库到电脑桌面
安装后可以在桌面快捷访问

关于抛物线焦点弦的弦长公式补充VIP免费

关于抛物线焦点弦的弦长公式补充_第1页
1/3
关于抛物线焦点弦的弦长公式补充_第2页
2/3
关于抛物线焦点弦的弦长公式补充_第3页
3/3
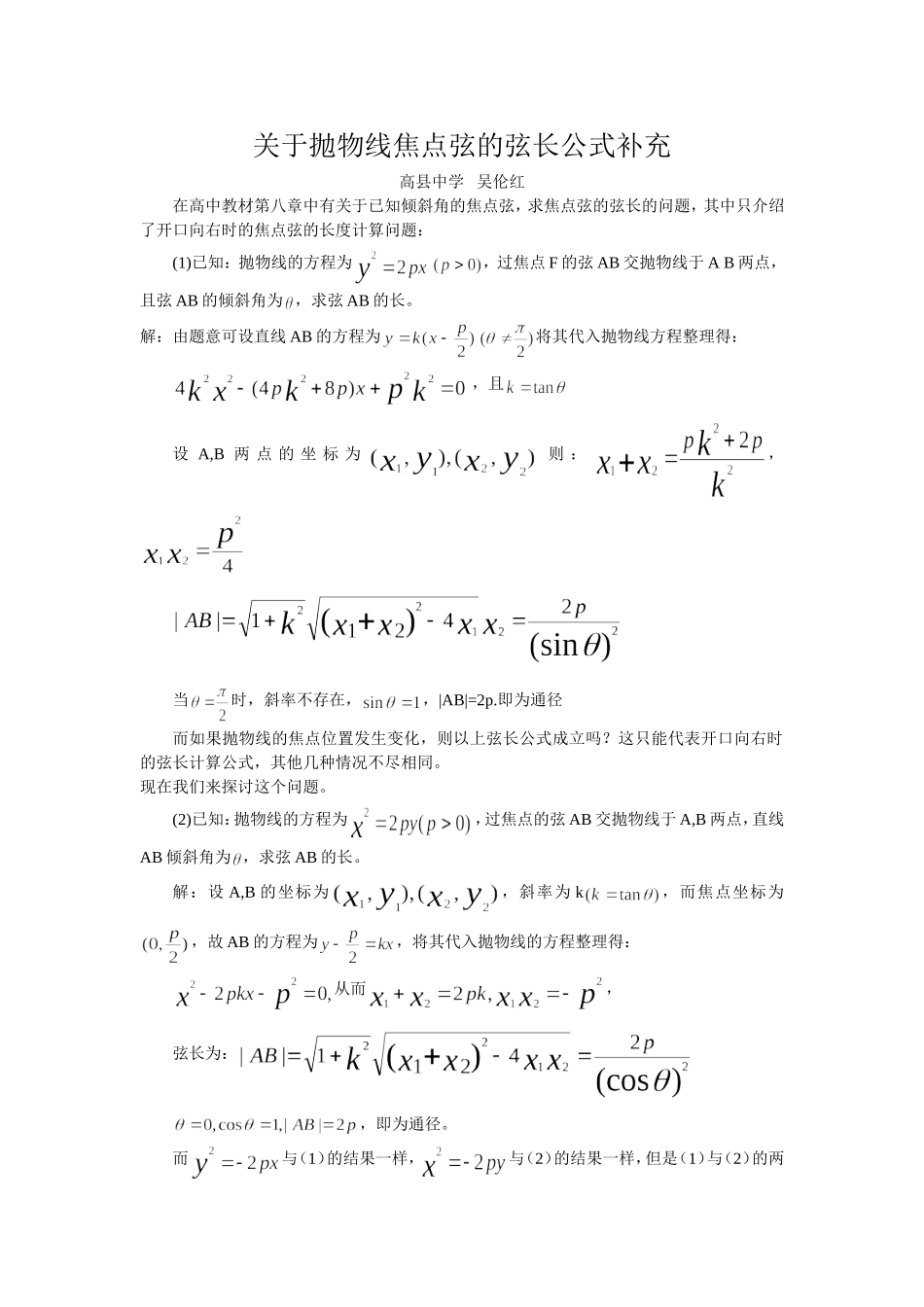
关于抛物线焦点弦的弦长公式补充高县中学吴伦红在高中教材第八章中有关于已知倾斜角的焦点弦,求焦点弦的弦长的问题,其中只介绍了开口向右时的焦点弦的长度计算问题:(1)已知:抛物线的方程为,过焦点F的弦AB交抛物线于AB两点,且弦AB的倾斜角为,求弦AB的长。解:由题意可设直线AB的方程为将其代入抛物线方程整理得:,且设A,B两点的坐标为则:,当时,斜率不存在,,|AB|=2p.即为通径而如果抛物线的焦点位置发生变化,则以上弦长公式成立吗?这只能代表开口向右时的弦长计算公式,其他几种情况不尽相同。现在我们来探讨这个问题。(2)已知:抛物线的方程为,过焦点的弦AB交抛物线于A,B两点,直线AB倾斜角为,求弦AB的长。解:设A,B的坐标为,斜率为k,而焦点坐标为,故AB的方程为,将其代入抛物线的方程整理得:从而,弦长为:,即为通径。而与(1)的结果一样,与(2)的结果一样,但是(1)与(2)的两种表达式不一样,为了统一这两种不同的表达式,只须作很小的改动即可。现将改动陈述于下:(3)已知:抛物线的方程为,过焦点F的弦AB交抛物线于A,B两点,且弦AB与抛物线的对称轴的夹角为,求弦AB的长。解:由题意可设直线AB的方程为将其代入抛物线方程整理得:,若倾斜角,则;若倾斜角则。设A,B两点的坐标为则:,而,故;当时,,|AB|=2p.即为通径。而与(3)的结果一样同理:(4)已知:抛物线的方程为,过焦点的弦AB交抛物线于A,B两点,直线AB与抛物线的对称轴的夹角为,求弦AB的长。解:设A,B的坐标为,若倾斜角为,斜率为k,则,而焦点坐标为,故AB的方程为,将其代入抛物线的方程整理得:从而,弦长为:当倾斜角,则;当倾斜角则所以恒成立。当时,,|AB|=2p.即为通径。而与(4)的结果一样。故只要直线AB与抛物线的对称轴的夹角为,那么不论抛物线的开口向上,向下,向左还是向右,过焦点的弦的弦长都可以用一个公式表示,即。这个公式包含了抛物线的四种开口形式,没有了因为开口不同而导致的公式不同,便于记忆,便于应用,是一个很好的弦长公式,这里推荐给大家使用。

1、当您付费下载文档后,您只拥有了使用权限,并不意味着购买了版权,文档只能用于自身使用,不得用于其他商业用途(如 [转卖]进行直接盈利或[编辑后售卖]进行间接盈利)。
2、本站所有内容均由合作方或网友上传,本站不对文档的完整性、权威性及其观点立场正确性做任何保证或承诺!文档内容仅供研究参考,付费前请自行鉴别。
3、如文档内容存在违规,或者侵犯商业秘密、侵犯著作权等,请点击“违规举报”。

碎片内容

关于抛物线焦点弦的弦长公式补充

文章天下+ 关注
实名认证
内容提供者

各种文档应有尽有

确认删除?
VIP
微信客服
  • 扫码咨询
会员Q群
  • 会员专属群点击这里加入QQ群
客服邮箱
回到顶部