电脑桌面
添加小米粒文库到电脑桌面
安装后可以在桌面快捷访问

满堂脚手架计算方法

满堂脚手架计算方法_第1页
1/3
满堂脚手架计算方法_第2页
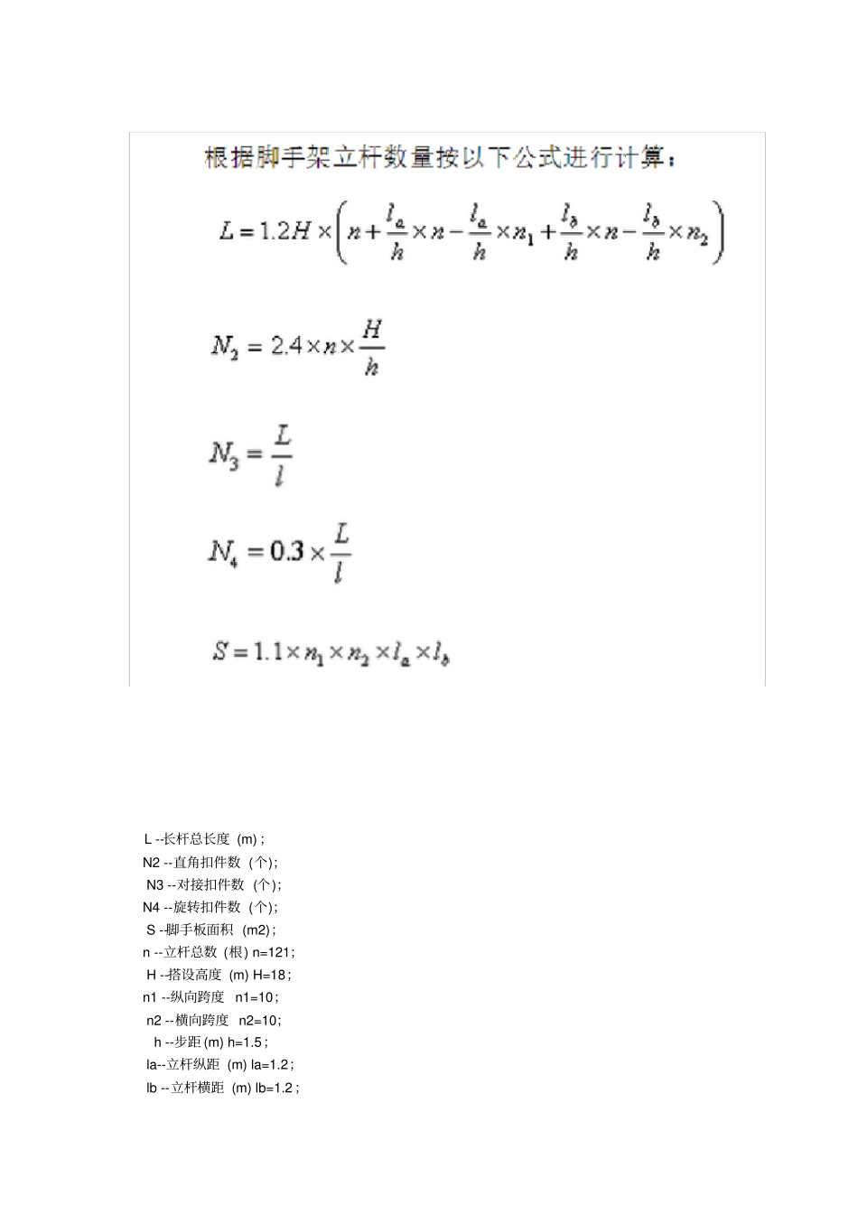
2/3
满堂脚手架计算方法_第3页
3/3
L --长杆总长度 (m) ;N2 --直角扣件数 (个); N3 --对接扣件数 (个);N4 --旋转扣件数 (个); S --脚手板面积 (m2);n --立杆总数 (根) n=121; H --搭设高度 (m) H=18;n1 --纵向跨度 n1=10; n2 --横向跨度 n2=10; h --步距 (m) h=1.5; la--立杆纵距 (m) la=1.2; lb --立杆横距 (m) lb=1.2;长 杆 总 长 度 (m) L =1.2× 18 × (121+1.2 × 121/1.5-10 × 1.2/1.51.2 × 121/1.5-10 ×1.2/1.5)=6449.76 直角扣件数 (个 ) N2=2.4×18/1.5 × 121=3485 对接扣件数 (个 ) N3=6449.76/6=1075 旋转扣件数 (个 ) N4=0.3×6449.76/6=322 脚手板面积 (m2) S=1.1×10×10×1.2×1.2=158.40 根据以上公式计算得长杆总长6449.76 米;直角扣件3485 个;对接扣件1075 个;旋转扣件 322 个;脚手板158.40m2 。九、脚手架的搭设要求: 1、满堂脚手架搭设在建筑物楼面上时,脚手架自重及施工荷载应在楼面设计荷载许可范围内,否则须经验算后制定加固方案; 2、立杆搭设应符合下列规定: (1)当立杆基础不在同一高度上时,必须将高处的纵向扫地杆向低处延长两跨与立杆固定,高低差不应大于1m; 靠边坡上方的立杆轴线到边坡的距离不应小于500mm, 如下图所示:(2)立杆接长除顶层顶步外,其余各层各步接头必须采用对接扣件连接;(3)立杆顶端宜高出女儿墙上皮1m,高出檐口上皮1.5m;3、水平杆搭设应符合下列规定,如图所示: (1)纵向水平杆应设置在立杆内侧,其长度不宜小于3跨;(2)纵向水平杆接长宜采用对接扣件连接,也可采用搭接; (3)横向水平杆应放置在纵向水平杆上部,靠墙一端至墙装饰面距离不宜大于100mm ; (4)主节点处必须设置横向水平杆; (5)杆件接头应交错布置,两根相邻杆件接头不应设置在同步或同跨内,接头位置错开距离不应小于500mm ,各接头中心至主节点的距离不宜大于纵距的1/3 ; (6)搭接接头的搭接长度不应小于1m,应采用不少于3 个旋转扣件固定; 4、扫地杆设置应符合下列要求: (1)纵向扫地杆必须连续设置,钢管中心距地面不得大于200mm; (2)脚手架底部主节点处应设置横向扫地杆,其位置应在纵向扫地杆下方; 5、扣件安装应符合下列规定: (1)螺栓拧紧力矩应控制在40~65N.m 之间; (2)主节点处固定横向水平杆、纵向水平杆、横向斜撑等用的直角扣件、旋转扣件的中心点的相互距离不应大于150mm ;(3)对接扣件开口应朝上或朝内;(4)各...

1、当您付费下载文档后,您只拥有了使用权限,并不意味着购买了版权,文档只能用于自身使用,不得用于其他商业用途(如 [转卖]进行直接盈利或[编辑后售卖]进行间接盈利)。
2、本站所有内容均由合作方或网友上传,本站不对文档的完整性、权威性及其观点立场正确性做任何保证或承诺!文档内容仅供研究参考,付费前请自行鉴别。
3、如文档内容存在违规,或者侵犯商业秘密、侵犯著作权等,请点击“违规举报”。

碎片内容

满堂脚手架计算方法

文库响当当+ 关注
实名认证
内容提供者

该用户很懒,什么也没介绍

确认删除?
VIP
微信客服
  • 扫码咨询
会员Q群
  • 会员专属群点击这里加入QQ群
客服邮箱
回到顶部