电脑桌面
添加小米粒文库到电脑桌面
安装后可以在桌面快捷访问

行政中心部门职责及制度管理大全

行政中心部门职责及制度管理大全_第1页
1/95
行政中心部门职责及制度管理大全_第2页
2/95
行政中心部门职责及制度管理大全_第3页
3/95
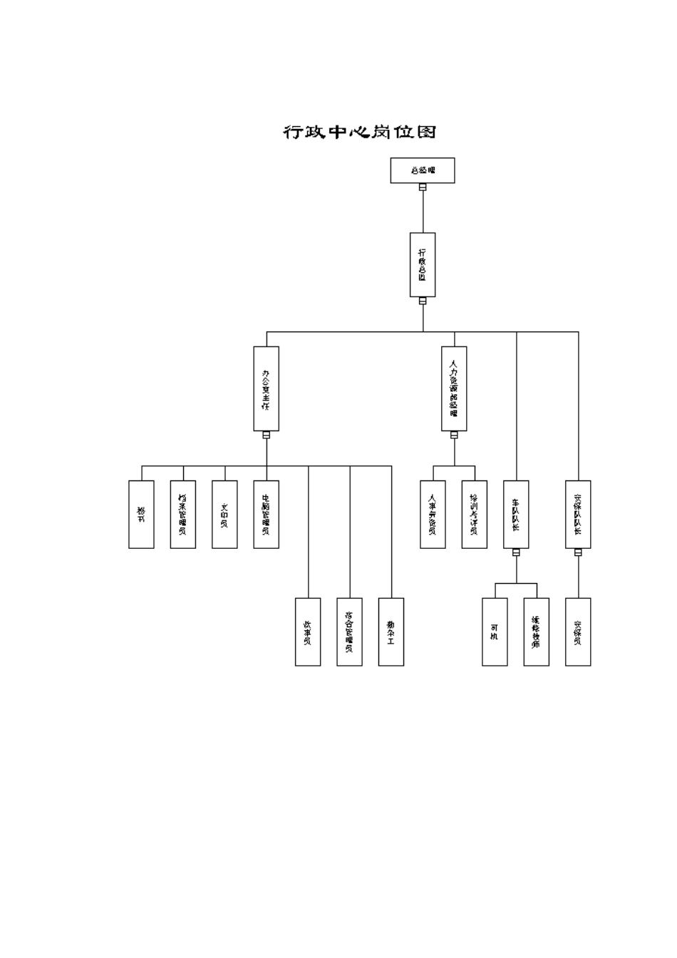
下载后可任意编辑行政中心部门职责及制度管理大全12024 年 4 月 19 日下载后可任意编辑部门职能行政中心部门名称:行政中心上级部门:总经理下级部门:人力资源部、办公室、车队、安保队部门本职:公司行政后勤和人力资源管理主要职能:1.管理公司行政事务和办公秩序。2.协调公司各系统、各部门间关系。3.监督检查公司规章制度执行情况。4.管理公司办公设备和运输设备。5.组织整理和提炼公司企业文化。6.结合公司进展战略,制订人力资源规划方案。7.建立人事考评和培训考评系统并监督实施。8.公司车队调度。9.公司安全保卫事务处理。42024 年 4 月 19 日下载后可任意编辑10.公司所有档案的保管、登记、借阅、销毁等事务的处理。11.组织编写<员工手册>和<企业大事记>。12.公司政令下达与督办。13.公司行政公文和文件的草拟、签发和存档管理。52024 年 4 月 19 日下载后可任意编辑部门职能办公室部门名称:办公室上级部门:行政中心下属岗位:秘书、文印员、档案管理员、电脑管理员、炊事员、宿舍管理员、勤杂工部门本职:公司行政后勤事务的管理主要职能:1. 制订公司行政后勤规章制度。2. 公司文件的拟、收、发、存。3. 公司会议的通知、安排和行政事务的督办。4. 公司法律事务办理。5. 管理公司文印事务。6. 公司大事记的编撰。7. 员工手册的制订和宣传8. 公司对外接待工作。9. 公司档案定期归档登记、保管。62024 年 4 月 19 日下载后可任意编辑10. 管理公司食堂和员工宿舍。11. 公司电脑网络及相关设备的维护和保养。12. 公司函电收发和报刊订阅、分发工作。13. 公司复印机、电脑、打印机、传真机等办公设备管理。14. 收集整理公司内外的反馈信息及合理化建议。15. 处理地方关系和社会公益事务。16. 公司废旧物资的处理。72024 年 4 月 19 日下载后可任意编辑部门职能人力资源部部门名称:人力资源部上级部门:行政中心下属岗位:人事劳资员、培训考评员部门本职:人力资源资管理主要职能:1.订公司劳动定额政策。2.制订公司员工薪酬测算依据和奖惩标准。3.公司人力资源规划。4.办理公司员工的人事手续。5.管理公司员工考勤情况,核算员工工资。6.公司员工的绩效考评和组织述职。7.建立公司所需的人才信息档案库。8.公司员工的招聘、面试和资格审查。9.公司培训体系的建立与实施。82024 年 4 月 19 日下载后可任意编辑10. 公司与地方政府劳动部门的联系工作。92024 年 ...

1、当您付费下载文档后,您只拥有了使用权限,并不意味着购买了版权,文档只能用于自身使用,不得用于其他商业用途(如 [转卖]进行直接盈利或[编辑后售卖]进行间接盈利)。
2、本站所有内容均由合作方或网友上传,本站不对文档的完整性、权威性及其观点立场正确性做任何保证或承诺!文档内容仅供研究参考,付费前请自行鉴别。
3、如文档内容存在违规,或者侵犯商业秘密、侵犯著作权等,请点击“违规举报”。

碎片内容

行政中心部门职责及制度管理大全

一帆文传+ 关注
实名认证
内容提供者

欢迎光临店铺,各类公文供您挑选。

确认删除?
VIP
微信客服
  • 扫码咨询
会员Q群
  • 会员专属群点击这里加入QQ群
客服邮箱
回到顶部