电脑桌面
添加小米粒文库到电脑桌面
安装后可以在桌面快捷访问

医学统计学公式总结

医学统计学公式总结_第1页
1/6
医学统计学公式总结_第2页
2/6
医学统计学公式总结_第3页
3/6
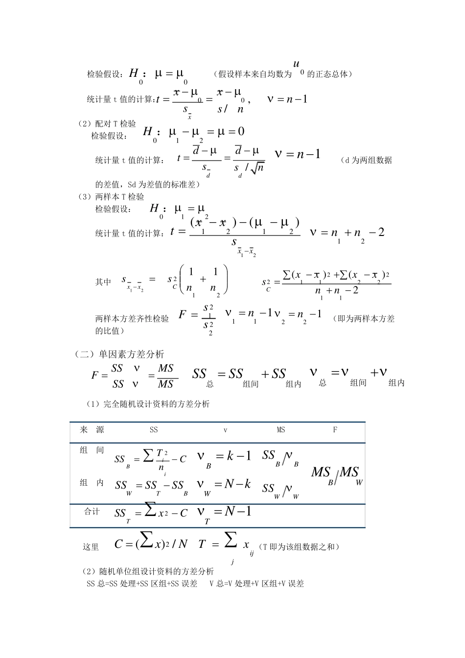
一 资料的描述性统计 (一)算术均数(mean) (1)简单算术平均值定义公式为(直接法): (2)利用频数表计算均数(加权法): (二)方差(即标准差的平方) (三)变异系数 二 参数估计与参考值范围 (一)均数的标准误 (二)样本率的标准误 (p 为样本率) (三)T 分布 (u 为总体均数) (四)总体均数的区间估计 (一般要求 计算 95%或 99%的可信区间) (五)总体率的区间估计 (六)参考值范围估计 双侧 1-a 参考值范围:suxa 2/ 单侧 1-a 参考值范围:suxa或suxa (可信区间计算是用标准误,参考值范围计算用标准差,百分位数法大家自己看书) 三 T 检验与方差分析 (一)T 检验 (1)单样本 T 检验 nxnxxxxxn321ffxffffxfxfxfxfxkkk3213322111)(22 nxxs222() /1xxnsn%1 0 0 xsCVnssx nppsp)1( nsxtxxstxstx,2/,2/ppsupsup2/2/ 检验假设: (假设样本来自均数为0u的正态总体) 统计量t 值的计算: (2)配对T 检验 检验假设: 统计量t 值的计算: (d 为两组数据 的差值,Sd 为差值的标准差) (3)两样本T 检验 检验假设: 统计量t 值的计算: 其中 两样本方差齐性检验 (即为两样本方差的比值) (二)单因素方差分析 SSMSFSSMSBBBWWW (1)完全随机设计资料的方差分析 来 源 SS v MS F 组 间 组 内 合计 这里 (T 即为该组数据之和) (2)随机单位组设计资料的方差分析 SS 总=SS 处理+SS 区组+SS 误差 V 总=V 处理+V 区组+V 误差 00 :H1,/00nnsxsxtx0210:H/ddddtssn1 n210 :H21)()(2121xxsxxt221nn2121121nnssCxx2)()(112222112nnxxxxsC2221ssF 111 n122 n组内组间总SSSSSS组内组间总CnTSSiiB 21 kBBBSSWB MSMSBTWSSSSSSkNWWWSSCxSST 21 NT2() /CxN ijjTx  (两种方差分析的主要区别在于:从组内变异中分解出单位组变异与误差变异。) 四 列联表分析 卡方检验 基本公式 其中 ν=(R-1)(C-1) (不太常用,理解) (一)四格表资料的卡方检验 (1)两样本率...

1、当您付费下载文档后,您只拥有了使用权限,并不意味着购买了版权,文档只能用于自身使用,不得用于其他商业用途(如 [转卖]进行直接盈利或[编辑后售卖]进行间接盈利)。
2、本站所有内容均由合作方或网友上传,本站不对文档的完整性、权威性及其观点立场正确性做任何保证或承诺!文档内容仅供研究参考,付费前请自行鉴别。
3、如文档内容存在违规,或者侵犯商业秘密、侵犯著作权等,请点击“违规举报”。

碎片内容

医学统计学公式总结

确认删除?
VIP
微信客服
  • 扫码咨询
会员Q群
  • 会员专属群点击这里加入QQ群
客服邮箱
回到顶部