电脑桌面
添加小米粒文库到电脑桌面
安装后可以在桌面快捷访问

化工热力学答案(第三版)VIP免费

化工热力学答案(第三版)_第1页
1/22
化工热力学答案(第三版)_第2页
2/22
化工热力学答案(第三版)_第3页
3/22
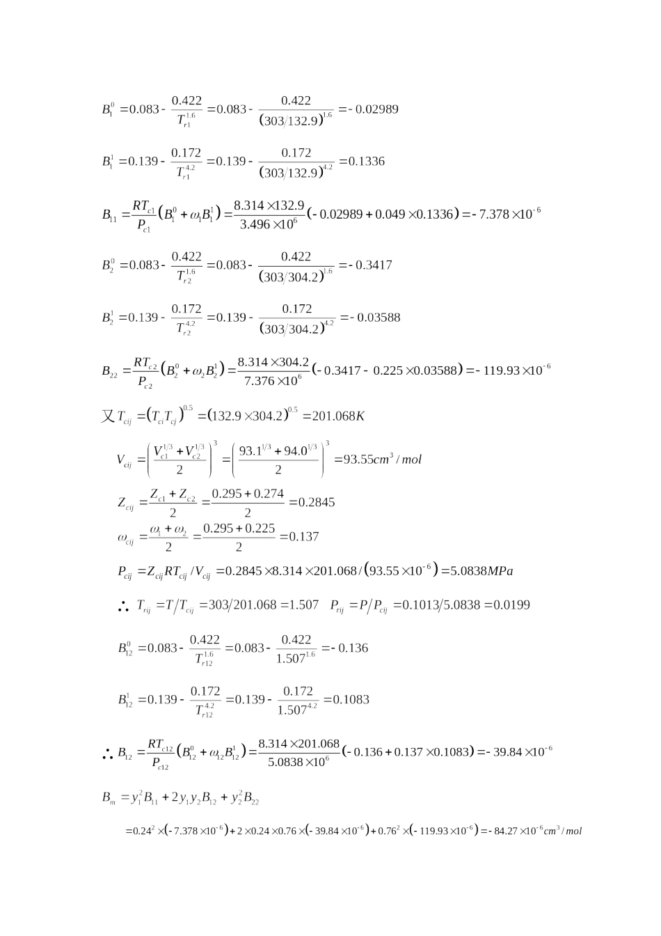
化工热力学课后答案(第三版)陈钟秀编著2-1.使用下述方法计算1kmol甲烷贮存在体积为0.1246m3、温度为50℃的容器中产生的压力:(1)理想气体方程;(2)R-K方程;(3)普遍化关系式。解:甲烷的摩尔体积V=0.1246m3/1kmol=124.6cm3/mol查附录二得甲烷的临界参数:Tc=190.6KPc=4.600MPaVc=99cm3/molω=0.008(1)理想气体方程P=RT/V=8.314×323.15/124.6×10-6=21.56MPa(2)R-K方程∴=19.04MPa(3)普遍化关系式<2∴利用普压法计算, ∴迭代:令Z0=1→Pr0=4.687又Tr=1.695,查附录三得:Z0=0.8938Z1=0.4623=0.8938+0.008×0.4623=0.8975此时,P=PcPr=4.6×4.687=21.56MPa同理,取Z1=0.8975依上述过程计算,直至计算出的相邻的两个Z值相差很小,迭代结束,得Z和P的值。∴P=19.22MPa2-2.分别使用理想气体方程和Pitzer普遍化关系式计算510K、2.5MPa正丁烷的摩尔体积。已知实验值为1480.7cm3/mol。解:查附录二得正丁烷的临界参数:Tc=425.2KPc=3.800MPaVc=99cm3/molω=0.193(1)理想气体方程V=RT/P=8.314×510/2.5×106=1.696×10-3m3/mol误差:(2)Pitzer普遍化关系式对比参数:—普维法∴=-0.2326+0.193×0.05874=-0.2213=1-0.2213×0.6579/1.199=0.8786∴PV=ZRT→V=ZRT/P=0.8786×8.314×510/2.5×106=1.49×10-3m3/mol误差:2-3.生产半水煤气时,煤气发生炉在吹风阶段的某种情况下,76%(摩尔分数)的碳生成二氧化碳,其余的生成一氧化碳。试计算:(1)含碳量为81.38%的100kg的焦炭能生成1.1013MPa、303K的吹风气若干立方米?(2)所得吹风气的组成和各气体分压。解:查附录二得混合气中各组分的临界参数:一氧化碳(1):Tc=132.9KPc=3.496MPaVc=93.1cm3/molω=0.049Zc=0.295二氧化碳(2):Tc=304.2KPc=7.376MPaVc=94.0cm3/molω=0.225Zc=0.274又y1=0.24,y2=0.76∴(1)由Kay规则计算得:—普维法利用真实气体混合物的第二维里系数法进行计算又∴∴∴→V=0.02486m3/mol∴V总=nV=100×103×81.38%/12×0.02486=168.58m3(2)2-4.将压力为2.03MPa、温度为477K条件下的2.83m3NH3压缩到0.142m3,若压缩后温度448.6K,则其压力为若干?分别用下述方法计算:(1)VanderWaals方程;(2)Redlich-Kwang方程;(3)Peng-Robinson方程;(4)普遍化关系式。解:查附录二得NH3的临界参数:Tc=405.6KPc=11.28MPaVc=72.5cm3/molω=0.250(1)求取气体的摩尔体积对于状态Ⅰ:P=2.03MPa、T=447K、V=2.83m3—普维法∴→V=1.885×10-3m3/mol∴n=2.83m3/1.885×10-3m3/mol=1501mol对于状态Ⅱ:摩尔体积V=0.142m3/1501mol=9.458×10-5m3/molT=448.6K(2)VanderWaals方程(3)Redlich-Kwang方程(4)Peng-Robinson方程 ∴∴(5)普遍化关系式 <2适用普压法,迭代进行计算,方法同1-1(3)2-6.试计算含有30%(摩尔分数)氮气(1)和70%(摩尔分数)正丁烷(2)气体混合物7g,在188℃、6.888MPa条件下的体积。已知B11=14cm3/mol,B22=-265cm3/mol,B12=-9.5cm3/mol。解:→V(摩尔体积)=4.24×10-4m3/mol假设气体混合物总的摩尔数为n,则0.3n×28+0.7n×58=7→n=0.1429mol∴V=n×V(摩尔体积)=0.1429×4.24×10-4=60.57cm32-8.试用R-K方程和SRK方程计算273K、101.3MPa下氮的压缩因子。已知实验值为2.0685解:适用EOS的普遍化形式查附录二得NH3的临界参数:Tc=126.2KPc=3.394MPaω=0.04(1)R-K方程的普遍化∴①②①、②两式联立,迭代求解压缩因子Z(2)SRK方程的普遍化∴①②①、②两式联立,迭代求解压缩因子Z第三章3-1.物质的体积膨胀系数和等温压缩系数的定义分别为:,。试导出服从VanderWaals状态方程的和的表达式。解:Vanderwaals方程由Z=f(x,y)的性质得又所以故3-2.某理想气体借活塞之助装于钢瓶中,压力为34.45MPa,温度为93℃,反抗一恒定的外压力3.45MPa而等温膨胀,直到两倍于其初始容积为止,试计算此过程之、、、、、、、Q和W。解:理想气体等温过程,=0、=0∴Q=-W==2109.2J/mol∴W=-2109.2J/mol又理想气体等温膨胀过程dT=0、∴∴=5.763J/(mol·K)=-366×5.763=-2109.26J/(mol·K)=-2109.26J/(mol·K)=-2109.26J/(mol·K)=2109.2J/mol3-3.试求算1kmol氮气在压力为10.13MPa、温度为773K下的内能、焓、熵...

1、当您付费下载文档后,您只拥有了使用权限,并不意味着购买了版权,文档只能用于自身使用,不得用于其他商业用途(如 [转卖]进行直接盈利或[编辑后售卖]进行间接盈利)。
2、本站所有内容均由合作方或网友上传,本站不对文档的完整性、权威性及其观点立场正确性做任何保证或承诺!文档内容仅供研究参考,付费前请自行鉴别。
3、如文档内容存在违规,或者侵犯商业秘密、侵犯著作权等,请点击“违规举报”。

碎片内容

化工热力学答案(第三版)

确认删除?
VIP
微信客服
  • 扫码咨询
会员Q群
  • 会员专属群点击这里加入QQ群
客服邮箱
回到顶部