电脑桌面
添加小米粒文库到电脑桌面
安装后可以在桌面快捷访问

直线和圆公式

直线和圆公式_第1页
1/5
直线和圆公式_第2页
2/5
直线和圆公式_第3页
3/5
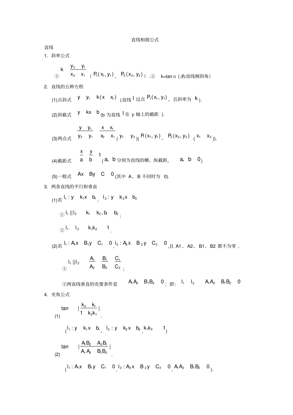
直线和圆公式直线1.斜率公式①2121yykxx(111(,)P x y、222(,)Pxy) .②k=tan α ( α为直线倾斜角)2.直线的五种方程(1)点斜式11()yyk xx(直线 l 过点111(,)P xy,且斜率为 k ).(2)斜截式ykxb (b 为直线 l 在 y 轴上的截距 ). (3)两点式112121yyxxyyxx (12yy )(111(,)P xy、222(,)P xy(12xx )). (4)截距式1xyab( ab、分别为直线的横、纵截距,0ab、) (5)一般式0AxByC(其中 A、B 不同时为 0). 3.两条直线的平行和垂直(1)若111:lyk xb ,222:lyk xb① 121212||,llkkbb ; ② 12121llk k. (2)若1111:0lA xB yC, 2222:0lA xB yC,且 A1 、A2、 B1、B2 都不为零 , ①11112222||ABCllABC;②两直线垂直的充要条件是12120A AB B;即:12ll12120A AB B4.夹角公式(1)2121tan||1kkk k. ( 111:lyk xb ,222:lyk xb ,121k k) (2)12211212tan||A BA BA AB B. ( 1111:0lA xB yC, 2222:0lA xB yC,12120A AB B). 5.1l 到2l 的角公式(1)2121tan1kkk k . ( 111:lyk xb ,222:lyk xb ,121k k) (2)12211212tanA BA BA AB B. ( 1111:0lA xB yC, 2222:0lA xByC,12120A AB B). 直线12ll 时,直线l1 到 l2 的角是 2 . 6.四种常用直线系方程(1)定点直线系方程:经过定点000(,)P xy的直线系方程为00()yyk xx(除直线0xx), 其 中 k 是 待 定 的 系 数 ; 经 过 定 点000(,)P xy的 直 线 系 方 程 为00()()0A xxB yy,其中,A B 是待定的系数.(2)共点直线系方程: 经过两直线1111:0lA xB yC, 2222:0lA xByC的交点的直线系方程为111222()()0A xB yCA xB yC(除2l ),其中λ 是待定的系数.(3)平行直线系方程:直线ykxb 中当斜率 k 一定而 b 变动时,表示平行直线系方程.与直线0AxByC平行的直线系方程是0AxBy(0 ),λ 是参变量.(4) 垂直直线系方程:与直线0AxByC(A ≠ 0, B ≠ 0)垂直的直线系方程是0BxAy, λ是参变量.7.点到直线的距离0022||AxByCdAB(点00(,)P xy,直线 l :0AxByC). 8.0AxByC或0 所表示的平面区域设 直 线:0lAxByC, 若A>0, 则 在 坐 标 平 面 内 从 左 至 右 的 区 域 依 次 表 示0AxByC,0AxByC,若 A<0, 则在坐标平面内从左至右的区域依次表示0AxByC,0AxByC,可记为 “x 为正开口对, X 为负背靠背 “。(正负指 X 的系数 A,开口对指 ...

1、当您付费下载文档后,您只拥有了使用权限,并不意味着购买了版权,文档只能用于自身使用,不得用于其他商业用途(如 [转卖]进行直接盈利或[编辑后售卖]进行间接盈利)。
2、本站所有内容均由合作方或网友上传,本站不对文档的完整性、权威性及其观点立场正确性做任何保证或承诺!文档内容仅供研究参考,付费前请自行鉴别。
3、如文档内容存在违规,或者侵犯商业秘密、侵犯著作权等,请点击“违规举报”。

碎片内容

直线和圆公式

您可能关注的文档

爱的疯狂+ 关注
实名认证
内容提供者

该用户很懒,什么也没介绍

相关文档

相关标签

确认删除?
VIP
微信客服
  • 扫码咨询
会员Q群
  • 会员专属群点击这里加入QQ群
客服邮箱
回到顶部