电脑桌面
添加小米粒文库到电脑桌面
安装后可以在桌面快捷访问

应用回归分析课后习题参考答案全部版何晓群,刘文卿

应用回归分析课后习题参考答案全部版何晓群,刘文卿_第1页
1/9
应用回归分析课后习题参考答案全部版何晓群,刘文卿_第2页
2/9
应用回归分析课后习题参考答案全部版何晓群,刘文卿_第3页
3/9
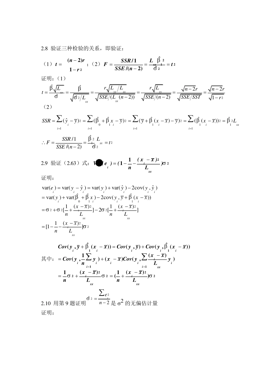
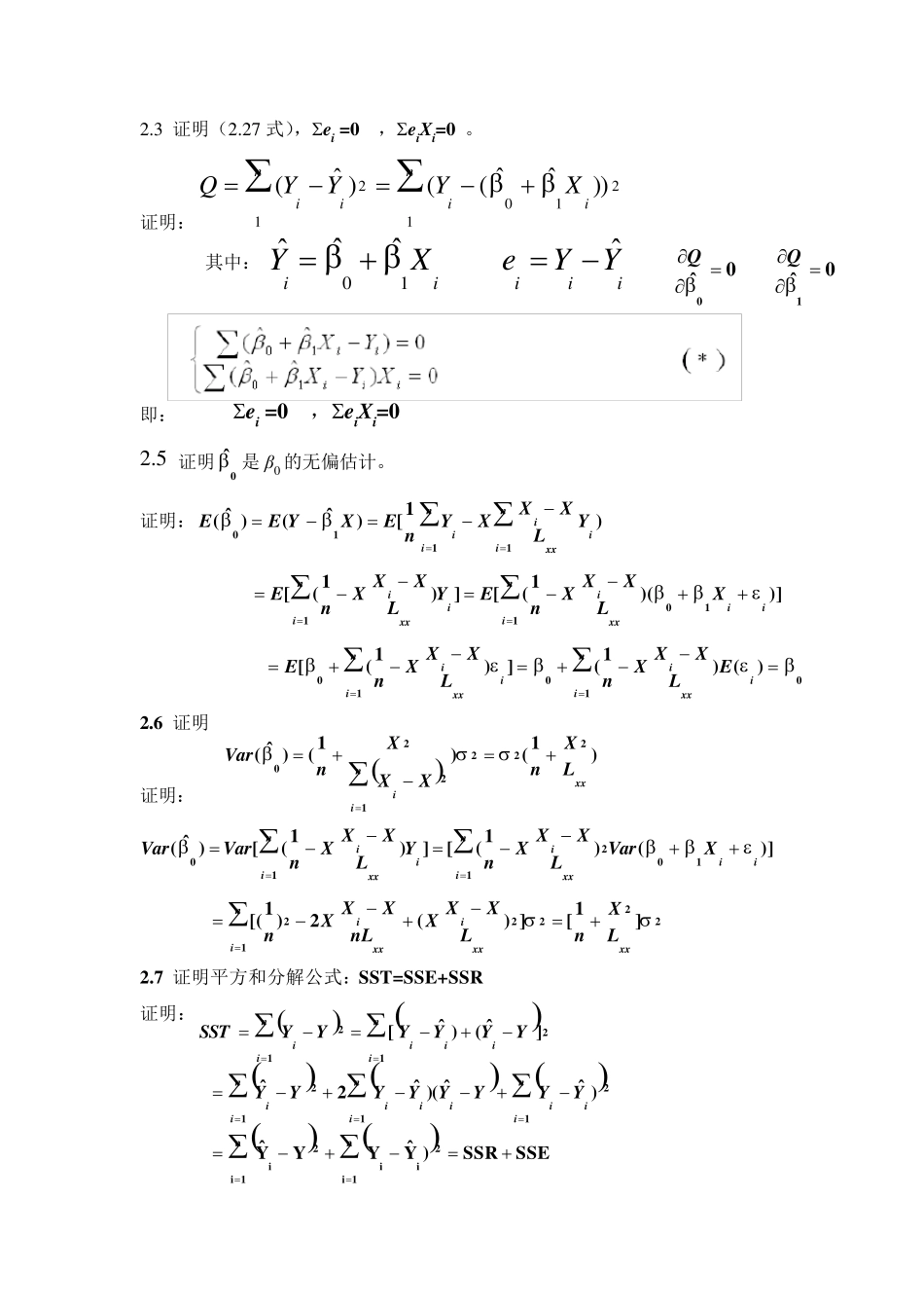
第一章 回归分析概述 1.2 回归分析与相关分析的联系与区别是什么? 答:联系有回归分析和相关分析都是研究变量间关系的统计学课题。区别有a.在回归分析中,变量y 称为因变量,处在被解释的特殊地位。在相关分析中,变量x 和变量y 处于平等的地位,即研究变量y 与变量x 的密切程度与研究变量x与变量y 的密切程度是一回事。b.相关分析中所涉及的变量y 与变量x 全是随机变量。而在回归分析中,因变量y 是随机变量,自变量x 可以是随机变量也可以是非随机的确定变量。C.相关分析的研究主要是为了刻画两类变量间线性相关的密切程度。而回归分析不仅可以揭示变量x 对变量y 的影响大小,还可以由回归方程进行预测和控制。 1.3 回归模型中随机误差项ε的意义是什么? 答:ε 为随机误差项,正是由于随机误差项的引入,才将变量间的关系描述为一个随机方程,使得我们可以借助随机数学方法研究y 与x1,x2…..xp 的关系,由于客观经济现象是错综复杂的,一种经济现象很难用有限个因素来准确说明,随机误差项可以概括表示由于人们的认识以及其他客观原因的局限而没有考虑的种种偶然因素。 1.4 线性回归模型的基本 假 设 是什么? 答:线性回归模型的基本 假 设 有:1.解释变量x1.x2….xp 是非随机的,观测值xi1.xi2…..xip 是常 数。2.等方差及不相关的假 定条 件 为{E(εi)=0 i=1,2…. Cov(εi,εj)={ σ ^2 3.正态 分布 的假 定条 件 为相互 独 立 。4.样 本 容 量的个数要多 于解释变量的个数,即n>p. 第二 章 一元 线性回归分析 思 考与练 习 参 考答案 2 .1 一元 线性回归有哪 些 基本 假 定? 答: 假 设 1、 解释变量X 是确定性变量,Y 是随机变量; 假 设 2、 随机误差项ε 具 有零 均 值 、 同 方差和不序 列 相关性: E(εi)=0 i=1,2, …,n Var (εi)=2 i=1,2, …,n Cov(εi, εj)=0 i≠j i,j= 1,2, …,n 假 设 3、 随机误差项ε 与解释变量X 之 间不相关: Cov(Xi, εi)=0 i=1,2, …,n 假 设 4、 ε 服 从 零 均 值 、 同 方差、 零 协 方差的正态 分布 εi~N(0, 2 ) i=1,2, …,n 2 .3 证明(2 .2 7 式),ei =0 ,eiXi=0 。 证明: 其中: 即: ei =0 ,eiXi=0 2 .5 证明0ˆ 是 β0 的无偏估计。 证明:)1[)ˆ()ˆ(1110niixxiniiYLXXXYnEXYEE...

1、当您付费下载文档后,您只拥有了使用权限,并不意味着购买了版权,文档只能用于自身使用,不得用于其他商业用途(如 [转卖]进行直接盈利或[编辑后售卖]进行间接盈利)。
2、本站所有内容均由合作方或网友上传,本站不对文档的完整性、权威性及其观点立场正确性做任何保证或承诺!文档内容仅供研究参考,付费前请自行鉴别。
3、如文档内容存在违规,或者侵犯商业秘密、侵犯著作权等,请点击“违规举报”。

碎片内容

应用回归分析课后习题参考答案全部版何晓群,刘文卿

您可能关注的文档

小辰7+ 关注
实名认证
内容提供者

出售各种资料和文档

确认删除?
VIP
微信客服
  • 扫码咨询
会员Q群
  • 会员专属群点击这里加入QQ群
客服邮箱
回到顶部