电脑桌面
添加小米粒文库到电脑桌面
安装后可以在桌面快捷访问

课题分类讨论思想的探讨与运用

课题分类讨论思想的探讨与运用_第1页
1/6
课题分类讨论思想的探讨与运用_第2页
2/6
课题分类讨论思想的探讨与运用_第3页
3/6
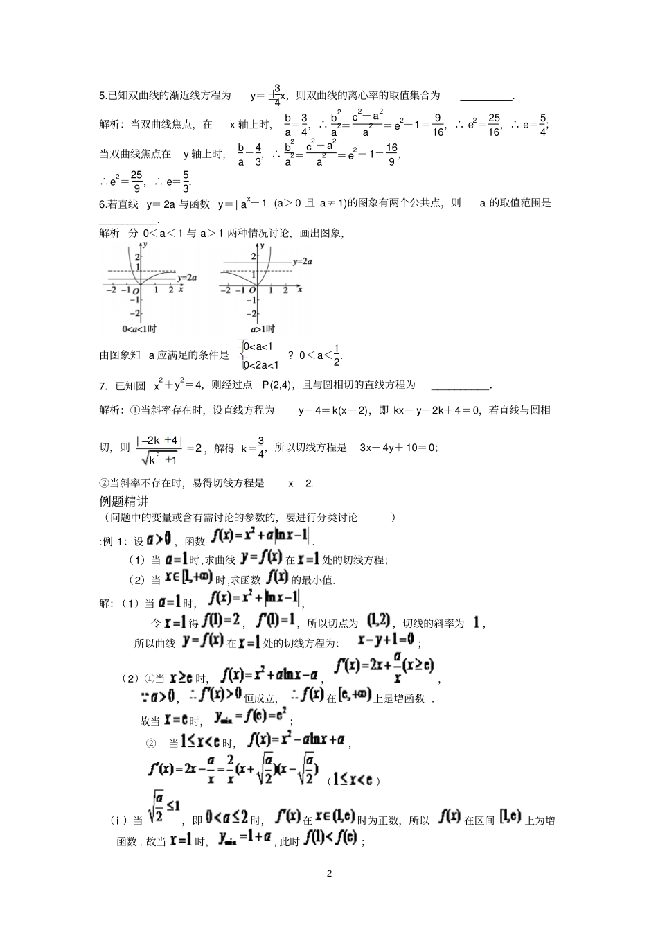
1 课题:分类讨论思想的探讨与运用纵观近几年高考试卷,均涉及分类讨论思 想方法的考查 . 试题中既有灵活多变的客观性试题 ,又有能力要求很高的主观性试题. 分类讨论思想方法仍将是高考重点考查的内容之一复习目标 :让学生进一步掌握如何在解题中运用好分类讨论. 重点 :如何分类 . 难点 :为什么要分类 . 旧题再现1.等比数列na中,3a =7,前 3 项之和3S =21,则公比 q 的值为 ___________.2.若不等式221(1)xm x对满足2m的所有 m 都成立,求 x 的取值范围 . 小试牛刀由数学概念、运算引起的分类讨论1.函数21sin, 10,,0( )xxxexf x若(1)( )2ff a,则 a 的所有可能值的集合为______.2. 【南通市 2014 届高三二模】若12log11a a,则 a 的取值范围是▲4,3. 已知 k∈Z,AB→ =( k, 1) ,AC→=(2,4),若 | AB→| ≤4,则△ ABC是直角三角形的概率为( ) A. 17 B. 27 C. 37 D. 47【答案】 C 4.设集合 A={ x|| x| ≤4} ,B={ x|| x-3| ≤a} ,若 AB ,则实数 a 的取值范围是 ________.解析:①当a<0 时, B=,符合题意;②当 a≥ 0 时, B≠,B={x|3 -a≤x≤3+a} ,由 AB 得3434aa≥≤,解得 0≤ a≤1,综上所述 a≤1.2 5.已知双曲线的渐近线方程为y=±34x,则双曲线的离心率的取值集合为.解析:当双曲线焦点,在x 轴上时, ba=34,∴ b2a2=c2-a2a2=e2-1= 916,∴ e2=2516,∴ e=54;当双曲线焦点在y 轴上时, ba=43,∴ b2a2=c2-a2a2=e2-1=169 ,∴e2=259 ,∴ e=53.6.若直线 y= 2a 与函数 y=| ax-1| (a> 0 且 a≠1)的图象有两个公共点,则a 的取值范围是__________.解析 分 0<a<1 与 a>1 两种情况讨论,画出图象,由图象知 a 应满足的条件是0

1、当您付费下载文档后,您只拥有了使用权限,并不意味着购买了版权,文档只能用于自身使用,不得用于其他商业用途(如 [转卖]进行直接盈利或[编辑后售卖]进行间接盈利)。
2、本站所有内容均由合作方或网友上传,本站不对文档的完整性、权威性及其观点立场正确性做任何保证或承诺!文档内容仅供研究参考,付费前请自行鉴别。
3、如文档内容存在违规,或者侵犯商业秘密、侵犯著作权等,请点击“违规举报”。

碎片内容

课题分类讨论思想的探讨与运用

文库当当响+ 关注
实名认证
内容提供者

该用户很懒,什么也没介绍

确认删除?
微信客服
  • 扫码咨询
会员Q群
  • 会员专属群点击这里加入QQ群